Angelos Kyriacou (@angelos_k_5) 's Twitter Profile
Angelos Kyriacou

@angelos_k_5

Consultant in Endocrinology & Diabetes. Academically interested in Thyroid & Obesity medicine. Keen for teaching & learning!

ID: 1581004220655878144

calendar_today14-10-2022 19:29:24

11 Tweet

10 Followers

13 Following

akheel sͩyͬed (@akheelsyed) 's Twitter Profile Photo

Real world application of ATA guidelines in over 600 aspirated thyroid nodules: is it time to change the size cut-offs for FNA? Stamatina Ioakim, akheel sͩyͬed, George Zavros, Michalis Picolos, Luca Persani & Angelos Kyriacou. etj.bioscientifica.com/view/journals/…

akheel sͩyͬed (@akheelsyed) 's Twitter Profile Photo

Body weight change trajectories following the treatment of hyperthyroidism: a prospective cohort study Angelos Kyriacou et al. pubmed.ncbi.nlm.nih.gov/36574980/

Body weight change trajectories following the treatment of hyperthyroidism: a prospective cohort study <a href="/Angelos_K_5/">Angelos Kyriacou</a> et al.
 pubmed.ncbi.nlm.nih.gov/36574980/
akheel sͩyͬed (@akheelsyed) 's Twitter Profile Photo

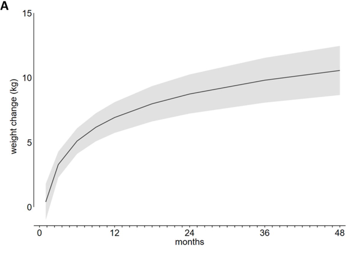
We show a significant predicted weight gain with the treatment of hyperthyroidism. The predicted weight increase was 3 kg at 3 months, 7 kg at 12 months and 11 kg at 4 years. Angelos Kyriacou et al. onlinelibrary.wiley.com/doi/10.1111/ce…

BTF Thyroid (@britishthyroid) 's Twitter Profile Photo

NEW! You can now watch our 'Understanding Obesity and Weight Loss' webinar at: youtu.be/GQQ1t63od3E #Obesity #WeightLoss #thyroid #WorldObesityDay'Meet the Experts' webinar on understanding obesity and weight loss youtu.be/GQQ1t63od3E via YouTube

SIMBA & CoMICs (@simbacomics) 's Twitter Profile Photo

#CoMICWednesday #JournalCoMICs Ep 1: Real-world application of ATA Guidelines in over 600 aspirated thyroid nodules: is it time to change the size cut-offs for FNA? by Ioakim et al. Full article: etj.bioscientifica.com/view/journals/… Created by @SimbaComics led by Josh

akheel sͩyͬed (@akheelsyed) 's Twitter Profile Photo

apps.m-anage.com/eta2024/en-GB/… The quality of life impact of weight gain in treated hyperthyroidism Oral Presentation MD Angelos Kyriacou (Limassol, Cyprus) #ETA2024

apps.m-anage.com/eta2024/en-GB/… 

The quality of life impact of weight gain in treated hyperthyroidism
Oral Presentation
MD Angelos Kyriacou (Limassol, Cyprus)
#ETA2024
Angelos Kyriacou (@angelos_k_5) 's Twitter Profile Photo

This w-end its the conference of the Cypriot Endocrine Society. We have multiple excellent speakers from Cyprus, Greece, Lebanon & the UK! I am very much looking forward to it, including my own lecture on environmental chemicals & human health! :) cubix.com.cy/endo24/