Digital Health Innovation Lab
@bcch_dhilab
The Digital Health Innovation Laboratory at @BCCHresearch / @BCChildrensHosp and @UBC.
ID: 951829326151995392
https://bcchr.ca/dhil 12-01-2018 14:52:50
59 Tweet
87 Followers
7 Following
PART has opened applications for Summer 2022 student clinical research opportunities! Applications will close January 15th. Apply now: bcchr.ca/PART/student-v… BC Children's Hospital Research Institute Evidence To Innovation BCCH Trainees BC Children's Hospital
@SBME_UBC graduate Iris Chang presenting her experience in the Development of a Postoperative Short-term Patient Outcome Dashboard for Individualized and Team Performance Feedback at the #STA22AM Society for Technology in Anesthesia (STA) BC Children's Hospital Research Institute Pediatric Anesthesia Research Team (PART) Digital Health Innovation Lab UBC Anesthesiology Residency Program
Dr. Sreepada presenting her work on the Analysis of postoperative patient outcomes following the intervention of clinician-centered dashboards for postoperative pediatric anesthesia outcomes at the #STA22AM Society for Technology in Anesthesia (STA) BC Children's Hospital Research Institute Pediatric Anesthesia Research Team (PART) Digital Health Innovation Lab UBC Anesthesiology Residency Program
Dr. Michael Wood presenting his work on the Development of a Risk Communication Tool for Postoperative Pain – Design Requirements Indicated by Clinicians, Families & Patient Partners at the #STA22AM Society for Technology in Anesthesia (STA) BC Children's Hospital Research Institute Pediatric Anesthesia Research Team (PART) Digital Health Innovation Lab UBC Anesthesiology Residency Program
Dr. Rama Sreepada using a large cohort to ask: Is a Change in End-tidal Carbon Dioxide concentration associated with Hypotension during Periods of General Anesthesia with Stable Mechanical Ventilation? at the #STA22AM conference. Society for Technology in Anesthesia (STA) UBC Anesthesiology Residency Program Fraser Health Digital Health Innovation Lab
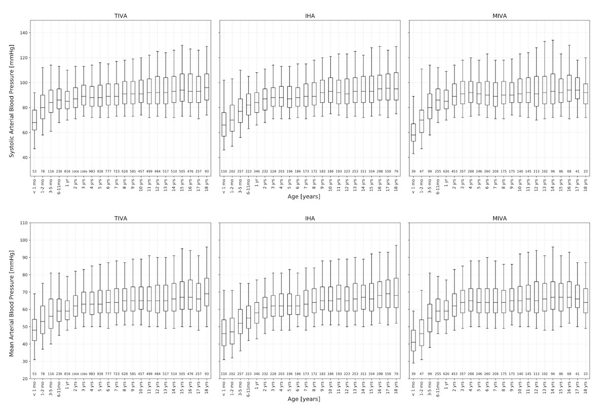
Rosa Hillgruber and Pavel Lutskov reporting on Blood pressure nomograms for children undergoing general anesthesia, stratified by age and anesthetic type, using data from a retrospective cohort. #PedsAnes doi.org/10.1007/s10877… Pediatric Anesthesia Research Team (PART) Digital Health Innovation Lab BC Children's Hospital Research Institute UBC Anesthesiology Residency Program
#PPF22 presentation by kim correa and Michael D. Wood on Guiding the Development of a Tool to Help Inform Pediatric Postsurgical Pain Management – A First Glance at Focus Group Data from Family and Patient Partners. BC Children's Hospital Research Institute UBC Anesthesiology Residency Program Digital Health Innovation Lab BC SUPPORT Unit
Interesting insights into the opportunities and barriers for sustainable #virtualcare through an example of a digitally enabled rural micro-practice by Lindsay Burton from UBC Okanagan #DigitalHealth Digital Health Innovation Lab BC Children's Hospital Research Institute
An interesting #pandemic #virtualcare paper by Lindsay Burton on 'Has Virtual Care Arrived? A Survey of Rural Canadian Providers During the Early Stages of the COVID-19 Pandemic' in journals.sagepub.com/doi/full/10.11… UBC Okanagan Digital Health Innovation Lab #DigitalHealth
Congratulations Charlie Fokkens, who won an Oral Presentations prize at the 2022 UBC Anesthesiology Residency Program Research Day for her work: Development of a tool to communicate postoperative pain risks of children to families – results of a 2nd round of co-design. BC Children's Hospital Research Institute Digital Health Innovation Lab Pediatric Anesthesia Research Team (PART)
Requirements and initial #prototype for a pediatric postoperative pain risk visualization tool from a co-design process by Michael D. Wood and team. Pediatric Anesthesia Research Team (PART) Digital Health Innovation Lab BC Children's Hospital Research Institute UBC Anesthesiology Residency Program #PedsAnes #patientoriented #Pediatrics #research
Work by Michael D. Wood aiming to identify risk factors, outcomes, and relevant experience measures, for a future pain risk prediction data collection and modelling study. #patientorientedresearch #pain #risk #PedsAnes Pediatric Anesthesia Research Team (PART) Digital Health Innovation Lab BC Children's Hospital Research Institute UBC Anesthesiology Residency Program
Dr. J. Quetzalcóatl Toledo-Marín speaking about his experience with Diabetes Risk Score Prediction Using Deep Neural Networks at #VDRD2022 #MachineLearning #T1D #VanDiabetes BC Children's Hospital Research Institute Digital Health Innovation Lab
Jonath Sujan presenting his work on Short-term Postoperative Patient Outcome Dashboard for Personalized and Department-wide Performance Feedback at the Evidence To Innovation Research Forum Pediatric Anesthesia Research Team (PART) BC Children's Hospital Research Institute UBC Anesthesiology Residency Program Digital Health Innovation Lab
Samantha Pang presenting her work on Pediatric Pain Prediction: A study to gather patient reported outcome and experience measures to develop models for significant postoperative pain risk at the Evidence To Innovation Research Forum Pediatric Anesthesia Research Team (PART) Digital Health Innovation Lab BC Children's Hospital Research Institute UBC Anesthesiology Residency Program
Drs. J. Quetzalcóatl Toledo-Marín and Taqdir Ali with their poster on Diabetes Risk Score Prediction Using Deep Neural Networks at the Evidence To Innovation Research Forum Digital Health Innovation Lab BC Children's Hospital Research Institute UBC Anesthesiology Residency Program
Thank you to the team for your persistence! Smart triage: Development of a rapid pediatric triage algorithm for use in low-and-middle income countries frontiersin.org/articles/10.33… The Institute for Global Health (formerly CICH) BC Children's Hospital Research Institute UBC Anesthesiology Residency Program University of British Columbia
New paper by Dr. J. Quetzalcóatl Toledo-Marín on the Prediction of Blood Risk Score in Diabetes Using Deep Neural Networks in the Journal of Clinical Medicine - mdpi.com/2149182 MDPI Digital Health Innovation Lab BC Children's Hospital Research Institute @UBCPediatrics UBC Anesthesiology Residency Program #T1D #PredictiveAnalytics
Dr Titilola Yakubu presenting her work on digitally enabled peer support intervention for mental health support in individuals with #T1D - a systemic review at the #ubcmedexpo2023 Tee @UBCDoM BC Children's Hospital Research Institute Digital Health Innovation Lab