Iris Broce (@broceiris) 's Twitter Profile
Iris Broce

@broceiris

Genetics, neuroscience, ALS, FTD, neurodegeneration, clinical trials, precision medicine

ID: 1088279603225931776

calendar_today24-01-2019 03:37:31

35 Tweet

99 Followers

85 Following

Laura 🌲 ⛰️ (@laurademing) 's Twitter Profile Photo

Urgent: we need more lab technicians to scale up coronavirus testing capacity in LA - if you have lab experience and are in LA or willing to relocate please email [email protected]

Brian Wallach (@bsw5020) 's Twitter Profile Photo

Ryan was 40--one year older than me. We cannot treat ALS with scientific indifference or a promise that we will get to it some day soon as we have done for decades. This has to stop. For Ryan, Martha, Finn and Liv we, the pALS and cALS, fight. startribune.com/obituaries/det…

Iris Broce (@broceiris) 's Twitter Profile Photo

Dr. Rahul Desikan, a neuroscientist and physician, died of ALS 8 months ago. His wife, Dr. Maya Vijayaraghavan, discusses the challenges they faced to obtain experimental treatment and the need to improve access to clinical trials for ALS:ja.ma/2UW77Ml UCSF MAC Brian Wallach

Brian Wallach (@bsw5020) 's Twitter Profile Photo

I'm gonna take a break from Twitter, but before I do I have an ask: PLEASE share 👇 video far and wide. This was hard to record. It forced me to confront a dark period. I share it so that all who have and are fighting ALS know they are not alone. Love you. #EveryCommunity

Jennifer Yokoyama (@yokoyamalabucsf) 's Twitter Profile Photo

Meet #laboyama! Iris, postdoc. She ‘learned how to conduct genomic research, also how to write grants and mentor other junior scientists.’ Her fav is Marlowe. “Everything there is great. Their burger in particular is delicious 🤤.” #WomenInSTEM UC San Diego Neurosciences Center for Precision Neuroimaging

Meet #laboyama! Iris, postdoc. She ‘learned how to conduct genomic research, also how to write grants and mentor other junior scientists.’ Her fav is Marlowe. “Everything there is great. Their burger in particular is delicious 🤤.” #WomenInSTEM <a href="/ucsdneurodept/">UC San Diego Neurosciences</a> <a href="/PrecisionNeuro/">Center for Precision Neuroimaging</a>
Sabrina Paganoni, MD, PhD (@paganonimdphd) 's Twitter Profile Photo

The HEALEY #ALS Platform Trial is open for enrollment. Please visit our website with info on the trial and participating clinics massgeneral.org/neurology/als/…

The HEALEY #ALS Platform Trial is open for enrollment. Please visit our website with info on the trial and participating clinics
massgeneral.org/neurology/als/…
NeurologyLive® (@neurology_live) 's Twitter Profile Photo

“Two treatments have been approved by the FDA, however, even with those 2 drugs, ALS remains an aggressive disease that’s still fatal.” - Sabrina Paganoni, MD, PhD neurologylive.com/videos/sabrina…

I AM ALS (@iamalsorg) 's Twitter Profile Photo

Not sure what questions to ask about exercise and physical therapy? Those impacted by ALS who have been where you are now helped create this checklist to help get you started. Every. Single. Day. They Lead. iamals.org/patients/#chec…

Chan Zuckerberg Initiative (@chanzuckerberg) 's Twitter Profile Photo

.Brian Wallach and his wife launched I AM ALS to build a movement for people diagnosed with #ALS while raising awareness and funds for research: czi.co/IAmALS #RareAsOne #CuresForAll

Brian Wallach (@bsw5020) 's Twitter Profile Photo

I couldn’t sleep last night. These numbers kept echoing in my head: 129 million Americans have pre-existing conditions. 61 million are living with a disability. I am one. And I plan to vote like my healthcare depends on it. Because it does. Retweet if you are one as well.

Christa Thompson (@thompsontweach) 's Twitter Profile Photo

So if a treatment is effective, “researchers would have ‘a moral obligation’ to end the trial early and make [it] available to everyone in the study, including those who had been given placebos’”. What about ALS treatments? 🤔 cnn.com/2020/09/01/hea…

I AM ALS (@iamalsorg) 's Twitter Profile Photo

Today, because of your tireless efforts we now have 290 Representatives co-sponsoring a bill that will reduce the 5 month waiting period for ALS patients accessing disability benefits. Now, it's time to work with Congress to get this thing passed.

Sabrina Paganoni, MD, PhD (@paganonimdphd) 's Twitter Profile Photo

Amylyx Pharmaceuticals Announces New England Journal of Medicine Publication of Pivotal AMX0035 Data Demonstrating Statistically Significant Benefit in People with ALS | Business Wire businesswire.com/news/home/2020…

Dena Dubal (@denadubal) 's Twitter Profile Photo

My brother Sam Dubal is missing. This is an active search and rescue. He is 34yrs old, 5’9” and 160 lbs. He was camping in a remote area in #mountraniere near #Seattle. Please retweet - any tips needed twitter and to Ranger Braun at [email protected]. University of Washington

My brother Sam Dubal is missing. This is an active search and rescue. He is 34yrs old, 5’9” and 160 lbs. He was camping in a remote area in #mountraniere near #Seattle. Please retweet - any tips needed twitter and to Ranger Braun at matthew_braun@nps.gov. <a href="/UW/">University of Washington</a>
Iris Broce (@broceiris) 's Twitter Profile Photo

Congratulations to my mentor Dr. Jennifer Yokoyama on winning the Alzheimer’s Association Excellence in Neuroscience Mentoring Award! Jen is a brilliant scientist and truly committed to training the next generation of talented scientists. UCSD Neurosciences UCSF MAC Jennifer Yokoyama

UCSF MAC (@ucsfmac) 's Twitter Profile Photo

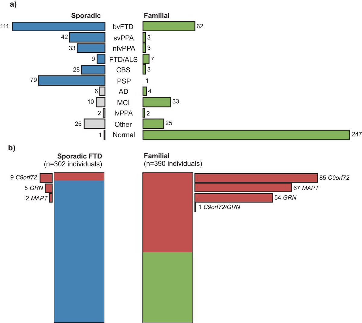
Genetic screening of a large series of North American sporadic and familial frontotemporal dementia cases. Study supports unbiased sequencing screen, irrespective of clinical presentation or family history. bit.ly/2O9hYQm Jamie Fong Bruce Miller Rankin Lab

Genetic screening of a large series of North American sporadic and familial frontotemporal dementia cases. Study supports unbiased sequencing screen, irrespective of clinical presentation or family history. bit.ly/2O9hYQm <a href="/jamiecfong/">Jamie Fong</a> <a href="/brucemillerucsf/">Bruce Miller</a> <a href="/Rankin_Lab/">Rankin Lab</a>
Brian Wallach (@bsw5020) 's Twitter Profile Photo

Once you are diagnosed with ALS and told you are going to die, you search for moments of peace—where the world slows down, pain and grief disappear, and you are able to just be alive. I found one today. Now, to find a few more. See y’all in a few days.

Once you are diagnosed with ALS and told you are going to die, you search for moments of peace—where the world slows down, pain and grief disappear, and you are able to just be alive. 

I found one today. 

Now, to find a few more. See y’all in a few days.
Jennifer Yokoyama (@yokoyamalabucsf) 's Twitter Profile Photo

WHAT A DAY!!!!!!!! While listening to a talk by my science hero 🧬 RosaRademakersLab I found out #Laboyama postdoc Iris Broce GOT HER K01 NIH Career Development Award!! 🎉🍾🥳🥰😍 OVERJOYED FOR IRIS!!! #proudmentormoment #WomenInScience #URM UCSF MAC UCSF Imaging Center for Precision Neuroimaging