Eugene Yuriditsky (@cardsnyc) 's Twitter Profile
Eugene Yuriditsky

@cardsnyc

Cardiologist turned Intensivist, cardiac intensive care, pulmonary embolism @NYULangone @NYULangonePCCSM

ID: 908023246641094657

calendar_today13-09-2017 17:43:07

350 Tweet

790 Followers

329 Following

James Horowitz (@jameshorowitzmd) 's Twitter Profile Photo

Coming soon at #critcarecards24 A 💥CANT MISS💥 debate on MCS: is the DanGer over? Holger Thiele v Christian Hassager With moderators Jacob Moller and @susannaprice There’s still time to sign up for in person or virtual access: bit.ly/47g6P83 NYU Grossman School of Medicine

Coming soon at #critcarecards24

A 💥CANT MISS💥 debate on MCS:
is the DanGer over? 

<a href="/thiele_holger/">Holger Thiele</a> v <a href="/CHassager/">Christian Hassager</a> 

With moderators Jacob Moller and @susannaprice 

There’s still  time to sign up for in person or virtual access: 
bit.ly/47g6P83 

<a href="/nyugrossman/">NYU Grossman School of Medicine</a>
Sean van Diepen (@seanvandiepen) 's Twitter Profile Photo

An approach to medical management of mixed shock states guided by hemodynamics and volume assessment. A full link to the paper: ahajournals.org/doi/10.1161/CI… 5/5

An approach to medical management of mixed shock states guided by hemodynamics and volume assessment.
A full link to the paper: ahajournals.org/doi/10.1161/CI…
                                                                                                5/5
Eugene Yuriditsky (@cardsnyc) 's Twitter Profile Photo

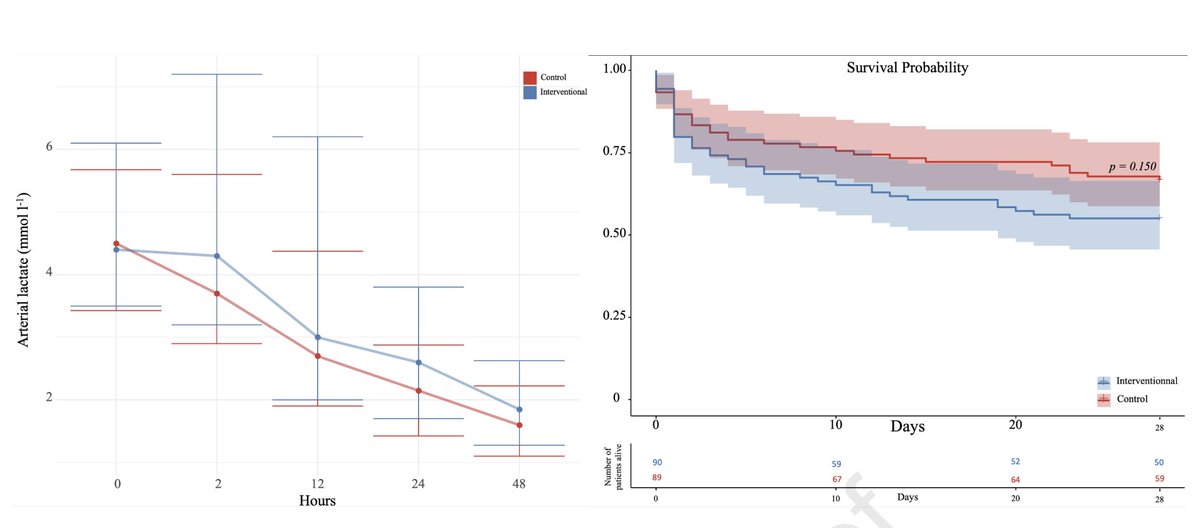
How do you use echo to predict normotensive shock in PE? We show the TAPSE/PASP ratio is extremely sensitive and specific. Right Ventricular-Pulmonary Arterial Uncoupling as a Predictor of Inva... sciencedirect.com/science/articl…

How do you use echo to predict normotensive shock in PE? 

We show the TAPSE/PASP ratio is extremely sensitive and specific. 

Right Ventricular-Pulmonary Arterial Uncoupling as a Predictor of Inva... sciencedirect.com/science/articl…
NYULangonePCCSM (@nyulangonepccsm) 's Twitter Profile Photo

A multidisciplinary team from NYC Health + Hospitals/Bellevue + NYU Langone Health demonstrates that IVC contrast reflux grade is highly specific for predicting a reduced cardiac index in patients with acute PE in Thrombosis Research 🔓 bit.ly/3YcjSmP #PulmonaryEmbolism #PCCM #CriticalCare #PERT

A multidisciplinary team from <a href="/BellevueHosp/">NYC Health + Hospitals/Bellevue</a> + <a href="/nyulangone/">NYU Langone Health</a> demonstrates that  IVC contrast reflux grade is highly specific for predicting a reduced cardiac index in patients with acute PE in <a href="/ThrombosisRese1/">Thrombosis Research</a>

🔓 bit.ly/3YcjSmP
#PulmonaryEmbolism #PCCM #CriticalCare #PERT
Matt Siuba (@msiuba) 's Twitter Profile Photo

New resource! We’d like to announce the launch of our living textbook for hemodynamics, Shockwaves! Edited by Max Hockstein and I with contributions by many great clinicians and educators

New resource!

We’d like to announce the launch of our living textbook for hemodynamics, Shockwaves!

Edited by <a href="/MaxHockstein/">Max Hockstein</a> and I with contributions by many great clinicians and educators
Nazli Okumus (@nazliokumus) 's Twitter Profile Photo

Thrilled to share our paper about Critical Care Management of Acute VTE is published in Radcliffe Cardiology A huge thank you to the amazing team of co-authors James Horowitz Eugene Yuriditsky #MikeSolomon #AshleyPark bit.ly/3CQNlM8 Amit Goyal MD MAS CardioNerds Ak

Thrilled to share our paper about Critical Care Management of Acute VTE is published in <a href="/radcliffeCARDIO/">Radcliffe Cardiology</a> 
A huge thank you to the amazing team of co-authors <a href="/jameshorowitzmd/">James Horowitz</a> <a href="/CardsNYC/">Eugene Yuriditsky</a> 
#MikeSolomon #AshleyPark
 bit.ly/3CQNlM8
<a href="/AmitGoyalMD/">Amit Goyal MD MAS</a> <a href="/CardioNerds/">CardioNerds</a>  <a href="/AdnanKhalifMD/">Ak</a>
Brian Locke, MD MSCI (@doc_blocke) 's Twitter Profile Photo

RCT (n=179) of P(v-a)CO2 gap and P(v-a)CO2 gap/Ca-vO2 ratio guided resuscitation for shock vs usual care ➡️ only slight diff in interventions (more dobutamine, less fluids); no diff in lactate clearance or outcomes.

RCT (n=179) of P(v-a)CO2 gap and P(v-a)CO2 gap/Ca-vO2 ratio guided resuscitation for shock vs usual care

➡️ only slight diff in interventions (more dobutamine, less fluids); no diff in lactate clearance or outcomes.
Eugene Yuriditsky (@cardsnyc) 's Twitter Profile Photo

How does positive pressure impact the right ventricle? Check out our approach to thinking through, and teaching heart-lung interactions with mechanical ventilation. atsjournals.org/doi/10.34197/a… Carlos L. Alviar MD, FACC Eduardo Mireles-Cabodevila ATS Scholar

How does positive pressure impact the right ventricle? 

Check out our approach to thinking through, and teaching heart-lung interactions with mechanical ventilation. 

atsjournals.org/doi/10.34197/a…

<a href="/carlosalviar/">Carlos L. Alviar MD, FACC</a> <a href="/emireles_c/">Eduardo Mireles-Cabodevila</a> <a href="/ATSScholar/">ATS Scholar</a>
Matt Siuba (@msiuba) 's Twitter Profile Photo

We present another publication-quality chapter from ShockWaves, the 1st chapter in the RHC section. Sergio Caravita presents a masterclass on the invasive PA waveform. Section editors: Sophia Airhart MD & Zachary Il'Giovine Look out next week for the non-invasive correlates 👀

We present another publication-quality chapter from ShockWaves, the 1st chapter in the RHC section.

<a href="/CaravitaSergio/">Sergio Caravita</a> presents a masterclass on the invasive PA waveform.

Section editors: <a href="/SophiaAirhartMD/">Sophia Airhart MD</a> &amp; <a href="/zilgiovineMD/">Zachary Il'Giovine</a> 

Look out next week for the non-invasive correlates 👀
NYULangonePCCSM (@nyulangonepccsm) 's Twitter Profile Photo

Critical Care Cardiologists Eugene Yuriditsky & Carlos L. Alviar MD, FACC share their approach to teaching the RV's role in positive pressure ventilation in @atscholar using 2 sessions: 1️⃣ How the RV fills & 2️⃣ How the RV empties 🔓 bit.ly/4a6DgY0 #MedEd #CriticalCare #Cardiology #PCCM

Critical Care Cardiologists <a href="/CardsNYC/">Eugene Yuriditsky</a> &amp; <a href="/carlosalviar/">Carlos L. Alviar MD, FACC</a> share their approach to teaching the RV's role in positive pressure ventilation in @atscholar using 2 sessions: 1️⃣ How the RV fills &amp; 2️⃣ How the RV empties 

🔓 bit.ly/4a6DgY0
#MedEd #CriticalCare #Cardiology #PCCM
Mads Dam Lyhne (@madsdam_md) 's Twitter Profile Photo

PAPi is an emerging index for #RV injury in advanced heart failure and LVAD implementation. What about the #peoplesventricle in acute #PE and #CTEPH? We did some digging. Thanks for an educational collaboration Eugene Yuriditsky Vasileios Zochios @DocAsger doi.org/10.3390/medici…

Peter Zhang, MD (@peter_szz) 's Twitter Profile Photo

Syncope is a common clinical presentation, but whether it portends worse cardiac index / invasive hemodynamics at the time of intervention for PE patients remains unknown. Our group studied that! Check it out: ajconline.org/article/S0002-… Robert Zhang MD Eugene Yuriditsky James Horowitz