Brad Gallent, MD, PhD (@drgallent) 's Twitter Profile
Brad Gallent, MD, PhD

@drgallent

Physician-scientist designing targeted therapies for prostate and other cancers to improve outcomes for our patients. Oncology Fellow @CSCancerCenter.

ID: 1837534817392730112

calendar_today21-09-2024 16:51:03

40 Tweet

57 Followers

32 Following

Brad Gallent, MD, PhD (@drgallent) 's Twitter Profile Photo

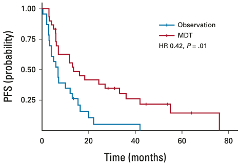
11/20 #TumorBoardTuesday 💡Mini tweetorial 6 Evidence supporting metastasis-directed therapy (MDT) for oligomets Pooling 📚STOMP + 📚ORIOLE Pts: PCa recurrence low-volume met (no high-risk mut) Obs vs MDT (no systemic Tx) Median PFS: 7.0 months Obs vs 13.4 months w/ MDT

11/20 #TumorBoardTuesday

đź’ˇMini tweetorial 6

Evidence supporting metastasis-directed therapy (MDT) for oligomets
Pooling 📚STOMP + 📚ORIOLE
Pts: PCa recurrence low-volume met (no high-risk mut)
Obs vs MDT (no systemic Tx)
Median PFS: 7.0 months Obs vs 13.4 months w/ MDT
Brad Gallent, MD, PhD (@drgallent) 's Twitter Profile Photo

12/20 #TumorBoardTuesday 💡Mini tweetorial 6.5 🔬Ongoing trials of MDT in de novo oligomets mCSPC (NCT03298087, NCT03784755, NCT03763253, NCT05223803) 📚 NCCN recs ⚡SBRT to oligometas from PCa when (1) goal is ablation (2) limited progression or (3) symptomatic lesion

Brad Gallent, MD, PhD (@drgallent) 's Twitter Profile Photo

13/20 #TumorBoardTuesday 📋Back to our case 65M with de novo low-volume mCSPC Prostate RT 5500 cGy ⚡ in 20 fractions SBRT 2000 cGy ⚡X5 fractions to T7 and L3 mets SBRT 4000 cGy ⚡ X5 fractions to L iliac met

13/20 #TumorBoardTuesday

đź“‹Back to our case

65M with de novo low-volume mCSPC

Prostate RT 5500 cGy ⚡ in 20 fractions
SBRT 2000 cGy ⚡X5 fractions to T7 and L3 mets
SBRT 4000 cGy ⚡ X5 fractions to L iliac met
Brad Gallent, MD, PhD (@drgallent) 's Twitter Profile Photo

14/20 #TumorBoardTuesday đź“‹Back to our case 65M with de novo low-volume mCSPC Within 3 months, PSA <0.02 Interval NM bone scan/CT scan at 6 months shows stable sclerotic bone mets with resolution of activity in corresponding lesionsđź©»

Brad Gallent, MD, PhD (@drgallent) 's Twitter Profile Photo

15/20 #TumorBoardTuesday 💡Mini tweetorial 7 Sig of rapid, deep, and durable PSA declines with apa + ADT Post-hoc analysis of 📚TITAN, median 44.0 mo Pts: mCSPC getting ADT + apa Achieved: >90% PSA decline or PSA <0.2 ng/ml at 3 months Median OS: 37.7 months “Not achieved” vs

15/20 #TumorBoardTuesday

đź’ˇMini tweetorial 7

Sig of rapid, deep, and durable PSA declines with apa + ADT
Post-hoc analysis of 📚TITAN, median 44.0 mo

Pts: mCSPC getting ADT + apa
Achieved: &gt;90% PSA decline or PSA &lt;0.2 ng/ml at 3 months
Median OS: 37.7 months “Not achieved” vs
Brad Gallent, MD, PhD (@drgallent) 's Twitter Profile Photo

17/20 #TumorBoardTuesday Lack of an established biomarker to guide 1L therapies in mCSPC 🔬Studies ongoing, e.g. SPOP mutations 🧬may be predictive for ARPI + ADT

17/20 #TumorBoardTuesday

Lack of an established biomarker to guide 1L therapies in mCSPC

🔬Studies ongoing, e.g. SPOP mutations 🧬may be predictive for ARPI + ADT
Brad Gallent, MD, PhD (@drgallent) 's Twitter Profile Photo

18/20 #TumorBoardTuesday Summary 1L mCSPC therapies stratified by volume High volume: Triplet therapies or ADT + ARPI (based on pt factors) Low volume: ADT + ARPI (based on pt factors)

18/20 #TumorBoardTuesday

Summary

1L mCSPC therapies stratified by volume

High volume: Triplet therapies or ADT + ARPI (based on pt factors)
Low volume: ADT + ARPI (based on pt factors)
Brad Gallent, MD, PhD (@drgallent) 's Twitter Profile Photo

19/20 #TumorBoardTuesday Summary For low-volume mCSPC (mHSPC) Benefit for local therapy to primary tumor Benefit of metastasis-directed therapy (MDT)

19/20 #TumorBoardTuesday

Summary

For low-volume mCSPC (mHSPC)
Benefit for local therapy to primary tumor
Benefit of metastasis-directed therapy (MDT)
Sumanta K. Pal, MD, FASCO (@montypal) 's Twitter Profile Photo

A meeting for my #SoCal colleagues. No lengthy travel required. Join us in #NewportBeach to discuss the current status of clinical trials in our area for #kidneycancer, #bladdercancer and #prostatecancer. Keynote from Andrea Necchi, our “external reviewer”, who will be offering

ZERO Prostate Cancer (@zerocancer) 's Twitter Profile Photo

🚨 We need your help! 🏛 This Tuesday, March 11, 2025, Congress will begin votes on a continuing resolution that includes a devastating 57% cut to the Department of Defense’s Congressionally Directed Medical Research Program. The Prostate Cancer Research Program has been

🚨 We need your help! 🏛 This Tuesday, March 11, 2025, Congress will begin votes on a continuing resolution that includes a devastating 57% cut to the Department of Defense’s Congressionally Directed Medical Research Program. The Prostate Cancer Research Program has been
Adam B. Weiner, MD (@adam_weiner535) 's Twitter Profile Photo

🚨As early as tomorrow, congress may act on a proposal to cut DOD research funding. This will devastate biomedical research in the US. 👇Please act now by contacting your representatives with the link below Prostate Cancer Foundation PCF Science Cancer at Cedars-Sinai Cedars-Sinai Academic Medicine UCLA Urology