Kerin Adelson, MD, MHCDS (@drkerinadelson) 's Twitter Profile
Kerin Adelson, MD, MHCDS

@drkerinadelson

Chief Quality and Value Officer, MD Anderson Cancer Center

ID: 1576302113155678208

calendar_today01-10-2022 20:05:07

29 Tweet

59 Followers

14 Following

Yale Cancer Center (@yalecancer) 's Twitter Profile Photo

New study shows that the use of systemic #cancer therapy at the end-of-life, a marker of low quality care, varies substantially across patient race, insurance type, and practice setting. Journal of Clinical Oncology Yale COPPER Center Yale School of Medicine Yale New Haven Hosp OncoAlert Smilow Cancer Hospital ascopubs.org/doi/abs/10.120…

New study shows that the use of systemic #cancer therapy at the end-of-life, a marker of low quality care, varies substantially across patient race, insurance type, and practice setting. <a href="/JCO_ASCO/">Journal of Clinical Oncology</a> <a href="/YaleCOPPER/">Yale COPPER Center</a> <a href="/YaleMed/">Yale School of Medicine</a> <a href="/YNHH/">Yale New Haven Hosp</a> <a href="/OncoAlert/">OncoAlert</a> <a href="/SmilowCancer/">Smilow Cancer Hospital</a> ascopubs.org/doi/abs/10.120…
Aaron Mitchell (@thewonkologist) 's Twitter Profile Photo

Patient insurance, race, and whether they get treated at an academic setting, all influence whether they get chemo at end-of-life. (which they shouldn't, and which, they shouldn't) Great work by Dr. Canavan Kerin Adelson, MD, MHCDS Cary Gross Yale COPPER Center 🧵👇🏼 ascopubs.org/doi/full/10.12…

Aaron Mitchell (@thewonkologist) 's Twitter Profile Photo

This is one of those "I wish I had done that study" studies. Breaking down these patient-level and provider-level factors really allows new insights into the determinants of cancer care...a lot of which are financial. 2/

Aaron Mitchell (@thewonkologist) 's Twitter Profile Photo

In terms of the context, end-of-life chemotherapy is a NEGATIVE quality measure. Something we should be trying our best to actively avoid. It harms patients and wastes healthcare resources. 3/

Aaron Mitchell (@thewonkologist) 's Twitter Profile Photo

These researchers looked at a real-world data set to ask, what are the patient and provider characteristics associated with patients receiving this harmful form of care? The factors that appear to be important, after adjustment, include: Race Insurance Type Practice Setting 4/

Aaron Mitchell (@thewonkologist) 's Twitter Profile Photo

Let's take these one by one. First, race. Black patients less likely to receive end-of-life chemo than white patients. This is interesting, since we are used to seeing Black patients receiving lower-quality care. 5/

Aaron Mitchell (@thewonkologist) 's Twitter Profile Photo

My best guess would be that the greater healthcare access that white patients are generally privileged to might cut both ways. Greater access to care in general, including lower-quality care as in this case. 6/

Aaron Mitchell (@thewonkologist) 's Twitter Profile Photo

Second, insurance type. Providers make far greater markups (read: profits) when billing commercial rather than public payers. So this incentive to use (and overuse) high-price cancer drugs is greater when treating commercially-insured patients. 7/

Jensa Morris (@jensamorrismd) 's Twitter Profile Photo

All over the world, countries have embraced the home hospital model as a way to offer care from the comfort of a patient's own home, reducing overcrowding in hospitals and empowering individuals to make informed decisions about their treatment: homehealthcarenews.com/2023/07/lesson…

Aaron Mitchell (@thewonkologist) 's Twitter Profile Photo

From the ICER meeting yesterday, I’m headed across the Common today to present at #ASCOQLTY23! Come check out our new work on access to high-quality chemo among LIS recipients + wasted spending on non-recommended bone agents for prostate cancer

Bishal Gyawali, MD, PhD, FASCO (@oncology_bg) 's Twitter Profile Photo

A bombshell of an article just published in JAMA Oncology by Cary Gross Yale COPPER Center and other colleagues. What a clever and smart way to look into this question. Read to see what I mean. Congratulations to all authors. jamanetwork.com/journals/jamao…

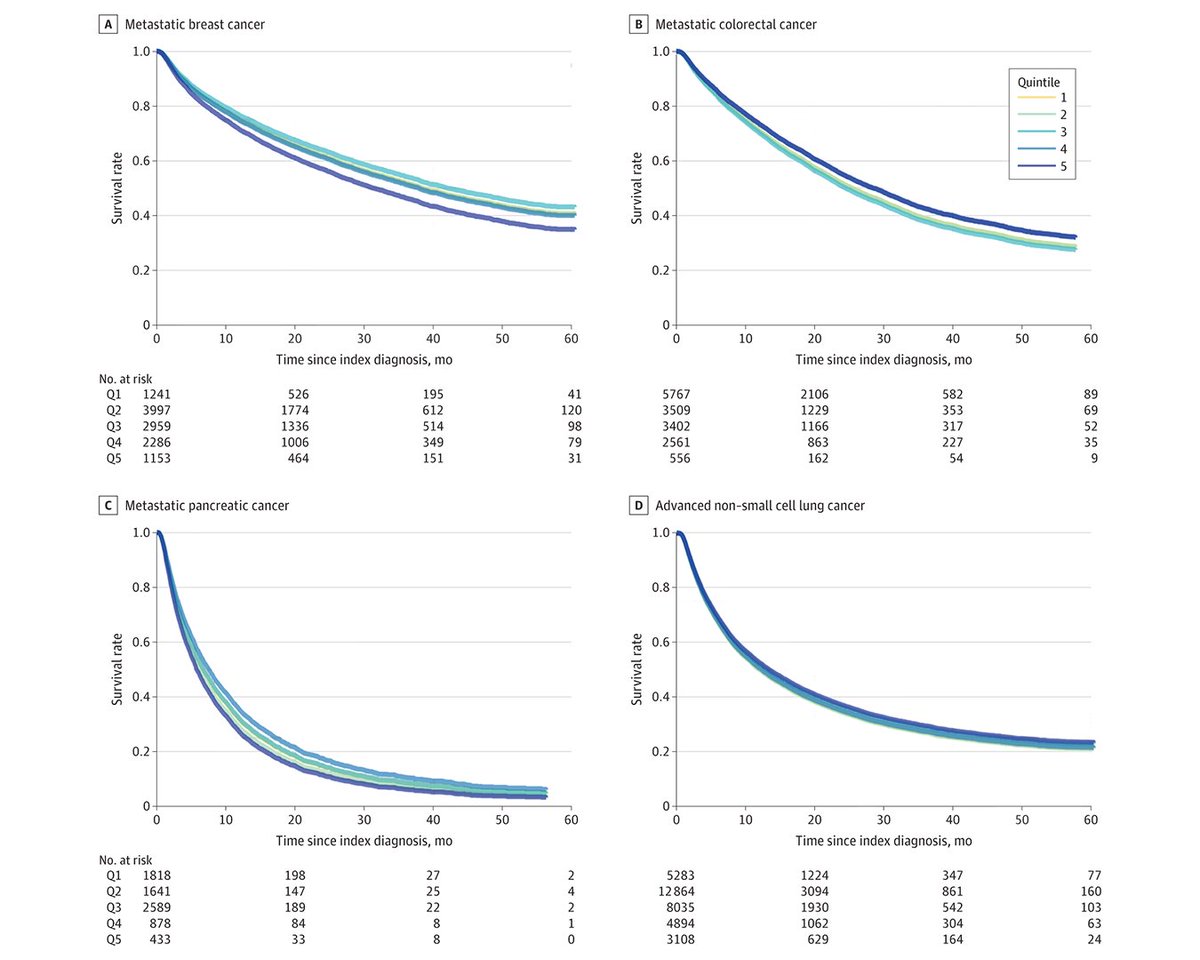
Kerin Adelson, MD, MHCDS (@drkerinadelson) 's Twitter Profile Photo

jamanetwork.com/journals/jamao… This manuscript published in JAMA Oncology today shows that systemic therapy for patients with very advanced solid tumors does not improve survival.

JAMA Oncology (@jamaonc) 's Twitter Profile Photo

Most viewed in the last 7 days from JAMA Oncology: Is oncologic treatment of very advanced disease associated with improved survival? ja.ma/3UTyy8A

Most viewed in the last 7 days from <a href="/JAMAOnc/">JAMA Oncology</a>: 

Is oncologic treatment of very advanced disease associated with improved survival? 

ja.ma/3UTyy8A