YoryosLyratzopoulos (@glyratzopoulos) 's Twitter Profile
YoryosLyratzopoulos

@glyratzopoulos

Professor of Cancer Epidemiology, UCL. Research focus on improving the diagnostic process and outcomes for cancer patients. Ts own views; RTs views of others

ID: 628364121

linkhttps://iris.ucl.ac.uk/iris/browse/profile?upi=GLYRA17 calendar_today06-07-2012 11:13:07

3,3K Tweet

854 Followers

1,1K Following

YoryosLyratzopoulos (@glyratzopoulos) 's Twitter Profile Photo

It has been terrific to, alongside Matthew Barclay and Cristina Renzi, contribute to this innovative work led by Becky White as part of her UCL PhD studies. Thank you The British Journal of General Practice for hosting, disseminating & including in the Journal's 'top-10' papers for 2023 πŸ™πŸ‘

Dr Meena Rafiq (@drmeenarafiq) 's Twitter Profile Photo

I’m thrilled to receive a Science and Innovation at Cancer Research UK International Alliance for Cancer Early Detection (ACED) - Pathway Award for the ICEBERG project 🧊: Improving Cancer Early detection using Blood tEst Results in General practice 🩸 πŸ“ˆ πŸ‘©πŸ»β€βš•οΈ 🦠 Behavioural Science & Health UCL YoryosLyratzopoulos Cambridge University

I’m thrilled to receive a <a href="/CRUKresearch/">Science and Innovation at Cancer Research UK</a> International Alliance for Cancer Early Detection (ACED) - Pathway Award for the ICEBERG project 🧊: Improving Cancer Early detection using Blood tEst Results in General practice 🩸 πŸ“ˆ πŸ‘©πŸ»β€βš•οΈ 🦠 

<a href="/UCL_BSH/">Behavioural Science & Health UCL</a> <a href="/GLyratzopoulos/">YoryosLyratzopoulos</a> <a href="/Cambridge_Uni/">Cambridge University</a>
ThoraxBMJ (@thoraxbmj) 's Twitter Profile Photo

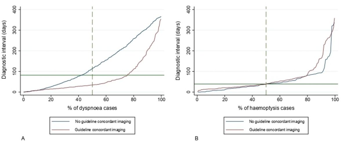
Guideline concordance for timely chest imaging after new presentations of dyspnoea or haemoptysis in primary care: a retrospective cohort study Dr Monica Koo Dr Luke Mounce Dr Meena Rafiq Mat Callister Hardeep Singh MD Gary Abel YoryosLyratzopoulos thorax.bmj.com/content/79/3/2…

Guideline concordance for timely chest imaging after new presentations of dyspnoea or haemoptysis in primary care: a retrospective cohort study  <a href="/mmkoo12/">Dr Monica Koo</a> <a href="/LukeMounce/">Dr Luke Mounce</a> <a href="/DrMeenaRafiq/">Dr Meena Rafiq</a> <a href="/CallisterMat/">Mat Callister</a> <a href="/HardeepSinghMD/">Hardeep Singh MD</a> <a href="/garyabel/">Gary Abel</a> <a href="/glyratzopoulos/">YoryosLyratzopoulos</a> thorax.bmj.com/content/79/3/2…
Inequalities in Cancer Outcomes Network (@icon_lshtm) 's Twitter Profile Photo

People living in deprived areas are more likely to receive a colon #cancer diagnosis through emergency hospitalisation. This study, published today in British Journal of Cancer, digs into the details of #inequality in cancer diagnosis. Read more on our website πŸ‘‰ bit.ly/3QIbPv9

People living in deprived areas are more likely to receive a colon #cancer diagnosis through emergency hospitalisation.

This study, published today in <a href="/BrJCancer/">British Journal of Cancer</a>, digs into the details of #inequality in cancer diagnosis.

Read more on our website
πŸ‘‰ bit.ly/3QIbPv9
The Lancet (@thelancet) 's Twitter Profile Photo

"vaccination has averted 154 million deaths" On the 50th anniversary of WHO's Expanded Programme on Immunization, Naor Bar-Zeev & colleagues quantify the public health impact of vaccination: hubs.ly/Q02ymFn60

"vaccination has averted 154 million deaths"

On the 50th anniversary of WHO's Expanded Programme on Immunization, Naor Bar-Zeev &amp; colleagues quantify the public health impact of vaccination: hubs.ly/Q02ymFn60
Divvy K. Upadhyay (@divvykant) 's Twitter Profile Photo

"The ED may be involved in the initial identification of cancer for 1 in 5 #patients (65y+)". New findings from US #Medicare data analysis - closely following our work linked below, highlighting concerns for population #Health and #cancer academic.oup.com/jncics/advance… YoryosLyratzopoulos

University of Melbourne Cancer in Primary Care (@umcpc_official) 's Twitter Profile Photo

Patients with as-yet-undetected cancer start using GP healthcare more several months before cancer diagnosis and blood tests may help to diagnose them earlier. Dr Meena Rafiq presents work from UK and Australia Cancer Research UK Health Professionals #CRUKEDConference24 Behavioural Science & Health UCL VCCC Alliance

Patients with as-yet-undetected cancer start using GP healthcare more several months before cancer diagnosis and blood tests may help to diagnose them earlier. <a href="/DrMeenaRafiq/">Dr Meena Rafiq</a> presents work from UK and Australia <a href="/CRUKHCPs/">Cancer Research UK Health Professionals</a> #CRUKEDConference24 <a href="/UCL_BSH/">Behavioural Science & Health UCL</a> <a href="/VCCCAlliance/">VCCC Alliance</a>
Dr Robert Kerrison (@robertskerrison) 's Twitter Profile Photo

Come and join us! We are looking for a talented researcher to come and join our team at the University of Surrey. The researcher will contribute to projects on inequalities in #cancer, as part of an National Institute for Health and Care Research unit led by UCL and Cambridge University. DetailsπŸ‘‰jobs.surrey.ac.uk/Vacancy.aspx?r…

Dr Meena Rafiq (@drmeenarafiq) 's Twitter Profile Photo

All adults will have 1 diagnostic error in their life. It was an honour to be the Keynote speaker at the World Health Organization (WHO) #WorldPatientSafetyDay in Budapest presenting on how to improve diagnostic safety in primary care πŸ‘©πŸ»β€βš•οΈ

All adults will have 1 diagnostic error in their life. It was an honour to be the Keynote speaker at the <a href="/WHO/">World Health Organization (WHO)</a> #WorldPatientSafetyDay in Budapest presenting on how to improve diagnostic safety in primary care πŸ‘©πŸ»β€βš•οΈ
YoryosLyratzopoulos (@glyratzopoulos) 's Twitter Profile Photo

1/3 With colleagues Ruth Swann, YoryosLyratzopoulos, Greg Rubin, Lucy Elliss-Brookes, Sean McPhail we have recently published a study aiming to understand pathways to diagnosis of cancer as an emergency presentation, and their consequences, a bit more pubmed.ncbi.nlm.nih.gov/39167911/

YoryosLyratzopoulos (@glyratzopoulos) 's Twitter Profile Photo

2/3 β€œPredictors and consequences of different pathways to emergency diagnosis of cancer in England: Evidence from linked national audit and cancer registration data"Β Ruth Swann, YoryosLyratzopoulos, Greg Rubin, Lucy Elliss-Brookes, Sean McPhail” Cancer Epidemiology pubmed.ncbi.nlm.nih.gov/39167911/

YoryosLyratzopoulos (@glyratzopoulos) 's Twitter Profile Photo

3/3 Β A third of EP patients were previously referred urgently; faster specialist assessment may have resulted in non-EP diagnosis in some. EP patients who were also emergency-referred had 9-fold higher mortality within a month post-diagnosis, compared to non-EP patients Cancer Research UK Health Professionals

Dr Meena Rafiq (@drmeenarafiq) 's Twitter Profile Photo

Nonspecific symptoms pose a diagnostic challenge to primary care cancer diagnosis and can result in repeat pre-diagnostic GP presentations. New interventions are needed to help pick up these cancers earlier. Thomas Round πŸ’™ #RCGPAC2024 YoryosLyratzopoulos

Nonspecific symptoms pose a diagnostic challenge to primary care cancer diagnosis and can result in repeat pre-diagnostic GP presentations. New interventions are needed to help pick up these cancers earlier. <a href="/drtomround/">Thomas Round πŸ’™</a> #RCGPAC2024 <a href="/GLyratzopoulos/">YoryosLyratzopoulos</a>
Dipesh Gopal (@dipeshgopal) 's Twitter Profile Photo

Great to hear the primary care cancer OG tag team tell us about the early diagnosis of cancer Thomas Round πŸ’™ Dr Sam Merriel πŸ’™πŸ’› Richard Neal πŸ‡ͺπŸ‡Ί Best4 trial: fundingawards.nihr.ac.uk/award/NIHR1355… Prostate cancer trial: prostatecanceruk.org/research/trans… MCED: mced.info #rcgpac

Great to hear the primary care cancer OG tag team tell us about the early diagnosis of cancer <a href="/drtomround/">Thomas Round πŸ’™</a> <a href="/SamMerriel/">Dr Sam Merriel πŸ’™πŸ’›</a> <a href="/richarddneal/">Richard Neal πŸ‡ͺπŸ‡Ί</a>

Best4 trial: fundingawards.nihr.ac.uk/award/NIHR1355…

Prostate cancer trial: prostatecanceruk.org/research/trans…

MCED: mced.info

#rcgpac