Piotr Jaholkowski (@jaholkowskip) 's Twitter Profile
Piotr Jaholkowski

@jaholkowskip

MD PhD | Psychiatrist | Postdoc researcher in psychiatric genetics
@SFFNORMENT @UniOslo

ID: 2964975063

calendar_today06-01-2015 21:41:24

66 Tweet

83 Followers

421 Following

JAMA Psychiatry (@jamapsych) 's Twitter Profile Photo

This narrative review describes a new approach to the diagnosis and treatment of psychiatric disorders that is based on dynamical systems theory, which addresses the concepts of tipping points, cycles, and chaos in complex systems. ja.ma/4ahYnG0

Chris Palmer, MD (@chrispalmermd) 's Twitter Profile Photo

Eating dinner together as a family at least 3 - 4 times per week is associated with children’s lower rates of overweight and obesity, substance abuse, teen pregnancy, depression, and eating disorders; higher self-esteem; and better academic performance. jamanetwork.com/journals/jamap…

Wojciech Szczeklik (@wszczeklik) 's Twitter Profile Photo

Kleszcze 🕷️ - temat wiecznie żywy. Fakty vs mity: - Kleszcze mogą przenosić wiele chorób ale najczęściej jest to borelioza (wywoływana przez bakterię Borrelia burgdorferi) - Niestety, obecnie nie dysponujemy szczepionką przeciwko boreliozie - Kleszcza usuwamy pociągając do góry

Kleszcze 🕷️ - temat wiecznie żywy.
Fakty vs mity:

- Kleszcze mogą przenosić wiele chorób ale najczęściej jest to borelioza (wywoływana przez bakterię Borrelia burgdorferi)
- Niestety, obecnie nie dysponujemy szczepionką przeciwko boreliozie
- Kleszcza usuwamy pociągając do góry
Jack Kosmicki (@jakphd) 's Twitter Profile Photo

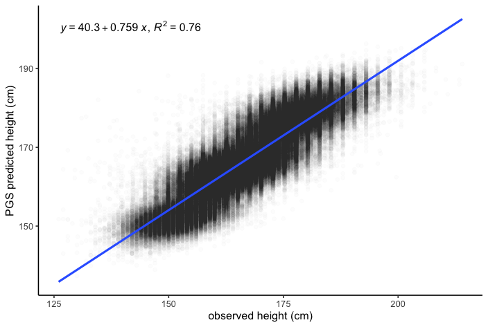
Exactly - for most traits, the PRS is . . . less than ideal. But for the handful of traits like height, it is frankly almost scary how accurate they can be.

Exactly - for most traits, the PRS is . . . less than ideal.  But for the handful of traits like height, it is frankly almost scary how accurate they can be.
Prof Tania Gergel (@drt_gergel) 's Twitter Profile Photo

To everyone with both #mentalhealth lived experience & research/clinical expertise, am thinking about forming network for e.g. specialist LE research advisory work. Pls DM me if you'd be interested in this possibility. & Pls share.

Pawel Trzaskoma (@paweltrzaskoma) 's Twitter Profile Photo

Our paper is out today: science.org/doi/10.1126/sc… Science Advances   We investigated the role of cell-type-specific enhancers, MYC, RAD21, CTCF, BRD4, and the MED26 subunit of the MED_COMPLEX in transcriptional bursting genome-wide.

The Lancet (@thelancet) 's Twitter Profile Photo

Youth #MentalHealth has been in decline over the past 20 years & is entering a dangerous phase, warn experts in a new Lancet Psychiatry Commission. Explore the drivers & evidence-based recommendations for change ▶️ hubs.li/Q02Kn99c0

Youth #MentalHealth has been in decline over the past 20 years & is entering a dangerous phase, warn experts in a new Lancet Psychiatry Commission.

Explore the drivers & evidence-based recommendations for change ▶️ hubs.li/Q02Kn99c0
JAMA Psychiatry (@jamapsych) 's Twitter Profile Photo

Polygenic risk scores predict psychosis concordance in twin study, highlighting genetic liability in schizophrenia and bipolar disorder even in small samples. ja.ma/3X7xYFk

Polygenic risk scores predict psychosis concordance in twin study, highlighting genetic liability in schizophrenia and bipolar disorder even in small samples. ja.ma/3X7xYFk
Dennis van der Meer (@dvdm33r) 's Twitter Profile Photo

New preprint! Strong genetic overlap between severe mental disorders and blood metabolic markers. Fascinating patterns: opposite effect directions of the markers on major depression versus bipolar disorder and schizophrenia. tinyurl.com/metaboPsych. #metabolicpsychiatry

New preprint! Strong genetic overlap between severe mental disorders and blood metabolic markers. Fascinating patterns: opposite effect directions of the markers on major depression versus bipolar disorder and schizophrenia.  tinyurl.com/metaboPsych.  #metabolicpsychiatry
Maciej Kawecki - This Is IT (@kawecki_maciej) 's Twitter Profile Photo

To oni rozwalili system. Pokonali wszystkie kraje. Zdobyli 77 punktów. Drugi najlepszy wynik był od nich gorszy o 14 punktów. To ogrom. Z algebry i kombinatoryki otrzymali niemal maksymalne wyniki. Wygrali 28 Zawody Matematyczne Państw Bałtyckich. Uzyskali o 50 % więcej punktów,

To oni rozwalili system. Pokonali wszystkie kraje. Zdobyli 77 punktów. Drugi najlepszy wynik był od nich gorszy o 14 punktów. To ogrom. Z algebry i kombinatoryki otrzymali niemal maksymalne wyniki. Wygrali 28 Zawody Matematyczne Państw Bałtyckich. Uzyskali o 50 % więcej punktów,
Piotr Jaholkowski (@jaholkowskip) 's Twitter Profile Photo

New paper alert! Our paper 'Charting the shared genetic architecture of Alzheimer's disease, cognition, and educational attainment, and associations with brain development' is out in Neurobiology of Disease! Norment sciencedirect.com/science/articl…

New paper alert! Our paper 'Charting the shared genetic architecture of  Alzheimer's disease, cognition, and educational attainment, and  associations with brain development' is out in Neurobiology of Disease! <a href="/SFFNORMENT/">Norment</a>
sciencedirect.com/science/articl…
Stephen Turner 🦋 @stephenturner.us (@strnr) 's Twitter Profile Photo

Marsilea: an intuitive generalized paradigm for composable visualizations genomebiology.biomedcentral.com/articles/10.11… 🧬🖥️🧪 github.com/Marsilea-viz/m…

Marsilea: an intuitive generalized paradigm for composable visualizations genomebiology.biomedcentral.com/articles/10.11… 🧬🖥️🧪 github.com/Marsilea-viz/m…
Norment (@sffnorment) 's Twitter Profile Photo

Job alert!🚨 3-year postdoc position available at the Centre for Precision Psychiatry related to multimodal prediction algorithms for Alzheimer’s disease using data from genetics, neuroimaging, biomarkers and cognitive tests. Deadline Feb 6. Please share! jobbnorge.no/en/available-j…

Job alert!🚨 3-year postdoc position available at the Centre for Precision Psychiatry related to multimodal prediction algorithms for Alzheimer’s disease using data from genetics, neuroimaging, biomarkers and cognitive tests. Deadline Feb 6. Please share! jobbnorge.no/en/available-j…
PGC Consortium (@pgcgenetics) 's Twitter Profile Photo

Did you know it takes an average of 8 years to diagnose #BipolarDisorder? Newly published research from the Psychiatric Genomics Consortium (bit.ly/3JkuokY) aims to improve this by learning more about the condition’s biology. Now in Nature: go.nature.com/3PJhi3W

Polish Masters of Art (@polmastersofart) 's Twitter Profile Photo

Leon Wyczółkowski - Rybacy | Połów raków (olej na płótnie, 113 x 146 cm), 1891, Muzeum Narodowe w Warszawie. #PolishMastersofArt

Leon Wyczółkowski - Rybacy | Połów raków (olej na płótnie, 113 x 146 cm), 1891, Muzeum Narodowe w Warszawie. #PolishMastersofArt
Hashtagalek 📸 Fotograf Aleksander Małachowski (@hashtagalek) 's Twitter Profile Photo

🇵🇱 11.11 🇵🇱 Jak co roku w Święto Niepodległości chciałem fotografią ukazać flagę Polski🤍❤️📸 Miałem ostatnio szansę spojrzeć z wysoka na najstarszy park miejski w Polsce, Ogród Saski, spowity mgłą. Kilkusetletnie drzewa pamiętają wiele wydarzeń, w tym odzyskanie suwerenności 🥹

🇵🇱 11.11 🇵🇱

Jak co roku w Święto Niepodległości chciałem fotografią ukazać flagę Polski🤍❤️📸 Miałem ostatnio szansę spojrzeć z wysoka na najstarszy park miejski w Polsce, Ogród Saski, spowity mgłą. Kilkusetletnie drzewa pamiętają wiele wydarzeń, w tym odzyskanie suwerenności 🥹