Jakob Wollborn (@jakobwollborn) 's Twitter Profile
Jakob Wollborn

@jakobwollborn

Cardiothoracic Anesthesiology and Critical Care | Physician Scientist | Views are my own | @BrighamWomens @BostonChildrens @HarvardMed @HarvardChanSPH

ID: 1215390508970840075

calendar_today09-01-2020 21:51:07

25 Tweet

128 Followers

273 Following

Jakob Wollborn (@jakobwollborn) 's Twitter Profile Photo

Results from the COVIP study: Health-related quality of life in older patients surviving ICU treatment for COVID-19 academic.oup.com/ageing/article… Age_and_Ageing #Frailty Oxford Journals

Christian Jung (@cjungmd) 's Twitter Profile Photo

Just published 📒: The association of the Activities of Daily Living and outcome in old COVID-19 ICU patients. ANNALS OF INTENSIVE CARE - AIC ➡️ Link: rdcu.be/cJjGI ⬅️ Bernhard Wernly Georg Wolff Wojciech Szczeklik Susannah - A study endorsed by ESICM #COVID19

John Augoustides (@augoustidesjohn) 's Twitter Profile Photo

Cardiac Anesthesiologists’ and Intensivists’ Impact on the Treatment of Patients at Advanced Heart Failure Centers - #specialtyscope sciencedirect.com/science/articl…

Brigham and Women’s OB Anesthesia (@brighamobanes) 's Twitter Profile Photo

New study by Sharon Reale and colleagues on the risk of difficult intubation in women undergoing general anesthesia for cesarean delivery now published online in Anesthesiology!

Critical Care Medicine (@critcaremed) 's Twitter Profile Photo

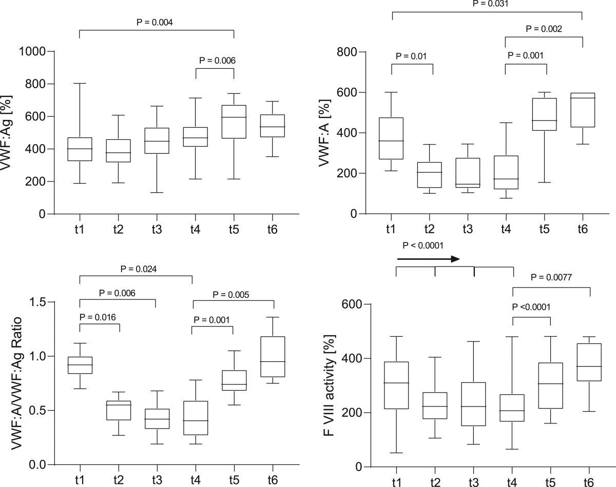
Kalbhenn et al: 27 pts #COVID19 #ARDS on VV #ECMO 💉Acquired vWF Syndrome in all #adultICU #ECMO 🩸 Desmopressin ineffective Rx: vWF concentrates Link: ow.ly/NYAF50JXYj1 SCCM #CritCareMed Fig: vWF & F-VIII activity before, during & after ECMO

Kalbhenn et al: 27 pts #COVID19 #ARDS on VV #ECMO  

💉Acquired vWF Syndrome in all #adultICU #ECMO
🩸 Desmopressin  ineffective
Rx:  vWF concentrates

Link: ow.ly/NYAF50JXYj1

<a href="/SCCM/">SCCM</a> #CritCareMed 

Fig: vWF &amp; F-VIII activity before, during &amp; after ECMO
Danny Muehlschlegel, MD, MMSc MBA (@dannymuehlschmd) 's Twitter Profile Photo

Congratulations to the CVSA Council Vivien Thomas Nominees and particular to the winner Dr. Weiang Yan from the University of Manitoba. Jakob Wollborn already on plane to Rwanda with Team Heart and not in picture. #aha22

Congratulations to the <a href="/CVSA_Heart/">CVSA Council</a> Vivien Thomas Nominees and particular to the winner Dr. Weiang Yan from the University of Manitoba. <a href="/JakobWollborn/">Jakob Wollborn</a> already on plane to Rwanda with <a href="/TeamHeartRwanda/">Team Heart</a> and not in picture. #aha22
Team Heart (@teamheartrwanda) 's Twitter Profile Photo

#GivingTuesday Today supports Team Heart's Poverty Reduction program for post-op patients to recover with dignity and support healthcare. King Faisal Hospital Rwanda Edwards Lifesciences Rwanda Biomedical Centre teamheart.org/donate @teamheartkigali

#GivingTuesday Today supports Team Heart's Poverty Reduction program for post-op patients to recover with dignity and support healthcare. <a href="/kfaisalhospital/">King Faisal Hospital Rwanda</a> <a href="/EdwardsLifesci/">Edwards Lifesciences</a> <a href="/RBCRwanda/">Rwanda Biomedical Centre</a> teamheart.org/donate @teamheartkigali
Jakob Wollborn (@jakobwollborn) 's Twitter Profile Photo

Excited to see our data published in Intensive Care Medicine and proud to have contributed! Monitoring #Microcirculation is intriguing - its regulation and interpretation is complex. However, no improvement in 30d survival if SDF data is integrated in shock treatment in DAMIS study Brigham and Women’s Anesthesiology

Christian Jung (@cjungmd) 's Twitter Profile Photo

Just published in Intensive Care Medicine ⬇️ „Microcirculation information in clinical decision making: Rome wasn’t build in a day“ 🔗 rdcu.be/dlTQN - we need a practical approach that translates into a clinical🏥 benefit 📊. ANDROMEDA-SHOCK BS #DAMIS Heinrich-Heine-Universität Düsseldorf Uniklinik Düsseldorf

Jakob Wollborn (@jakobwollborn) 's Twitter Profile Photo

Excited to share our comprehensive review on capillary leak in the #ICU🏥 Endothelial permeability as a double-edged sword ⚔️: Necessary to maintain homeostasis, but can cause severe problems in critically ill🤒 Babak Saravi Ulrich Goebel, MD PhD FESAIC MBA Christian Jung Sascha David Aarne Feldheiser

Sula (@sula_nasra) 's Twitter Profile Photo

Had an incredible time at #IARS24 this past weekend! Grateful for the inspiring lectures, networking, and the opportunity to present our work!

Had an incredible time at #IARS24 this past weekend! Grateful for the inspiring lectures, networking, and the opportunity to present our work!
Mass General Surgery (@mghsurgery) 's Twitter Profile Photo

New research suggests that women who develop postoperative atrial fibrillation after cardiac surgery are at greater risk of death than men. Read more about the study led by Mass General Brigham researchers, published in JAMA Network Open: shorturl.at/yreKH

New research suggests that women who develop postoperative atrial fibrillation after cardiac surgery are at greater risk of death than men. Read more about the  study led by Mass General Brigham researchers, published in JAMA Network Open: shorturl.at/yreKH