 
                                jeiran
@jeiranc
Assistant Professor of Neurology 
USC Stevens Neuroimaging and Informatics Institute
Keck School of Medicine 
University of Southern California
ID: 2171837263
https://www.ini.usc.edu/IMG/ 03-11-2013 08:55:30
148 Tweet
228 Followers
474 Following
 
         
         
         
         
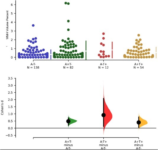
        ๐๐ง Check out a NEW PAPER by Sierra Alban jeiran Farshid Sepehrband Kirsten Lynch: The association between white matter hyperintensities and amyloid and tau deposition. ๐ bit.ly/44dpD5k #AlzheimersDisease
 
                        
                    
                    
                    
                 
        Visit our poster at #AAIC2023 #AAIC23 Radiology of USC @USCneurorads Lab of Neuro Imaging Mount Sinai Health System jeiran Gaurav Pandey
 
                        
                    
                    
                    
                 
        CONGRATS to Nien-Chu Shih and coauthors on award of this year's Neuroimage Clinical Editor's Choice Award #OHBM2023 Editorial team - Neuroimage Clinical OHBM Microstructural mapping of dentate gyrus pathology in Alzheimer's disease: A 16.4 Tesla MRI study pubmed.ncbi.nlm.nih.gov/36630864/
 
                        
                    
                    
                    
                 
         
         
        So excited to see this out in Sleep Medicine! We showed the link between sleep and perivascular space varies by age and race. Also, age and BMI mediated these findings.๐ง ๐ค Check out our new paper: sciencedirect.com/science/articlโฆ jeiran Giuseppe Barisano, MD, PhD Lab of Neuro Imaging
 
        ๐ข Catch Francesca Sibilia's poster presentation 3/8 and 3/9, 12:50 - 2 pm at #ADPD2024 โExploring the relationship among walking, sleep patterns, brain perivascular spaces, and cognitive function in Parkinson's diseaseโ
 
                        
                    
                    
                    
                 
        Join us at #WNRS24! Iโll present our work from ๐๏ธ USC Stevens Neuroimaging Institute on ๐ง Tau-PET imaging & pTau in cognitive decline #Alzheimers. ๐ Oct 17, 2 PM. Donโt miss it! Lab of Neuro Imaging Radiology of USC The Western Neuroradiological Society Nasim jeiran Bino Varghese Gaurav Pandey Mount Sinai Health System
 
         
                         
                         
                         
                         
                        