FatLiverDoc (@liverfat) 's Twitter Profile
FatLiverDoc

@liverfat

Liver doctor specializing in the treatment of fatty liver disease and obesity.

ID: 1224305184328900608

calendar_today03-02-2020 12:14:53

48 Tweet

72 Followers

54 Following

Michael "Mike" Albert, MD (@michaelalbertmd) 's Twitter Profile Photo

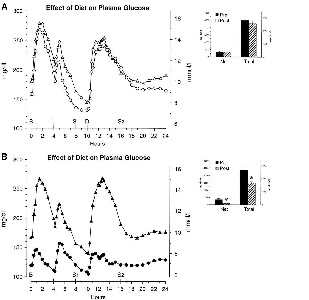
Why therapeutic low-carb + HP is so effective in T2DM: Graph A: washout diet vs ADA diet (Carb 55%, Protein 15%, Fat 30%) Graph B: washout diet vs therapeutic low-carb + HP (Carb 20%, Protein 30%, Fat 50%) *Glycemic control is superior with low-carb (non-keto) + high protein*

Why therapeutic low-carb + HP is so effective in T2DM:

Graph A: washout diet vs ADA diet (Carb 55%, Protein 15%, Fat 30%)

Graph B: washout diet vs therapeutic low-carb + HP (Carb 20%, Protein 30%, Fat 50%) 

*Glycemic control is superior with low-carb (non-keto) + high protein*
FatLiverDoc (@liverfat) 's Twitter Profile Photo

All’s good at the ALF Academic Debates . Great debate on whether a mandatory lifestyle intervention should be instituted for patients being transplanted for NASH. Important and nuanced topic!

All’s good at the <a href="/AlfDebates/">ALF Academic Debates</a> . Great debate on whether a mandatory lifestyle intervention should be instituted for patients being transplanted for NASH. Important and nuanced topic!
Elliot Tapper (@ebtapper) 's Twitter Profile Photo

Have you ever wondered ... how beta-blockers treat #cirrhosis? Here's a #tweetorial featuring: 1⃣Pathophys! 2⃣controversy! 3⃣Cheap, life-saving interventions! #livertwitter #gitwitter #meded 1/

Rush Gastroenterology and Hepatology Fellowship (@rush_gi) 's Twitter Profile Photo

So proud of our 3rd year fellow Zoë Post, MD, MSc and transplant hepatology fellow Aryanna Sousa, MD, MPH on their excellent presentations/arguments for the academic debate at The Liver Meeting! Great job! 👏🏻🤩 #TLM24 AASLD AASLD Foundation

So proud of our 3rd year fellow <a href="/ZoePostMD/">Zoë Post, MD, MSc</a> and transplant hepatology fellow <a href="/aryannasousaMD/">Aryanna Sousa, MD, MPH</a> on their excellent presentations/arguments for the academic debate at The Liver Meeting! Great job! 👏🏻🤩 #TLM24 <a href="/AASLDtweets/">AASLD</a> <a href="/AASLDFoundation/">AASLD Foundation</a>