
Shawn Peddle
@peddleshawn
PhD candidate @Flinders | Soil microbes and restoration | Soil biodiversity | Restoration genomics
ID: 1214305843245486080
06-01-2020 22:01:08
62 Tweet
116 Followers
210 Following


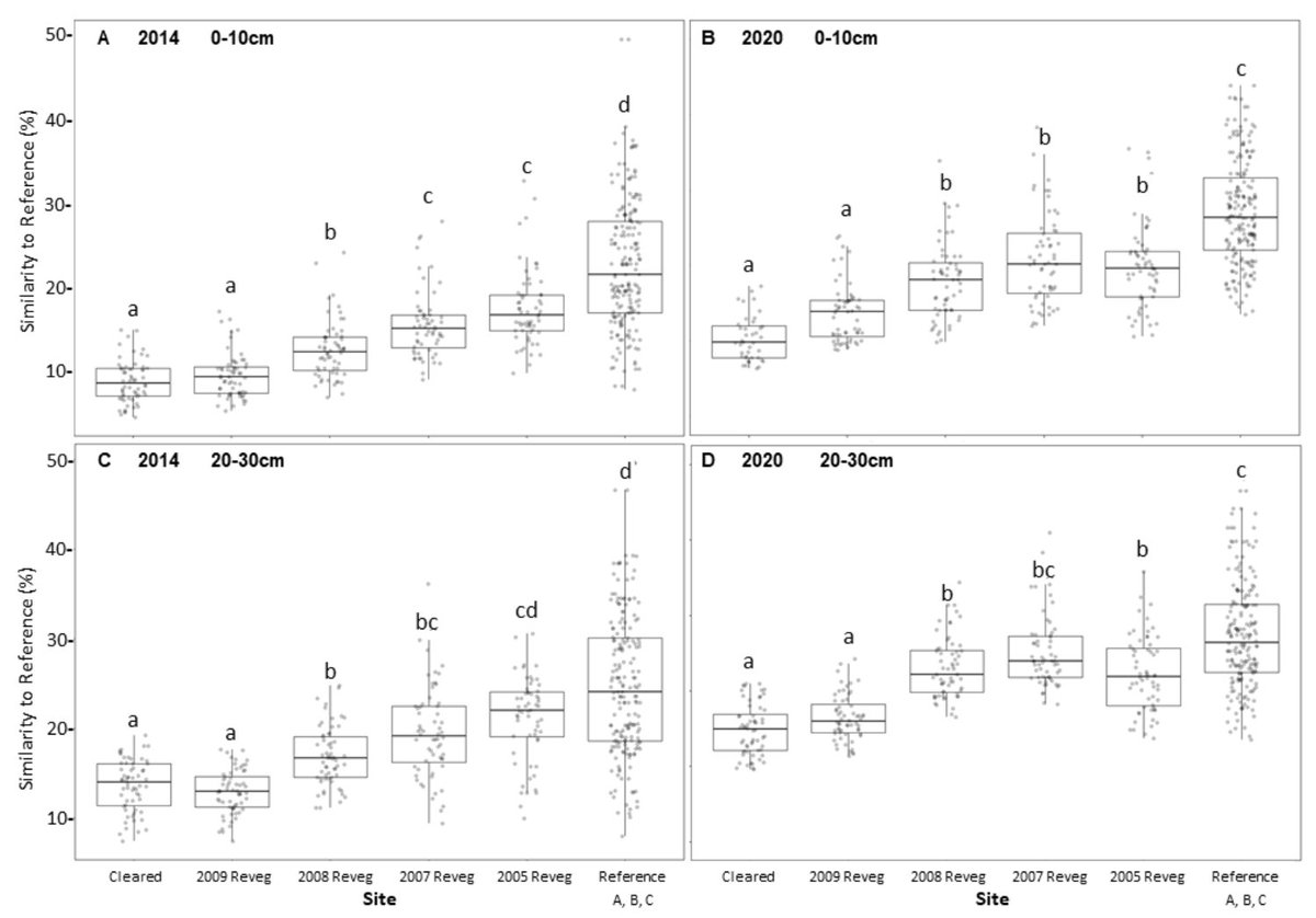
An amazing effort from Flinders University honours student Alfie Lem to produce such an interesting paper on whether restoration plantings cause soil microbiota recovery. In short: not great amounts of recovery observed over 6 years --> details here onlinelibrary.wiley.com/doi/abs/10.111…





PhD ch3 soil microbiota translocation field experiment on Bush Heritage’s stunning Fitz-Stirling reserves is all setup, thanks to an excellent team of volunteers. Back in 3 months to monitor seed germination and one year for repeat soil sampling.



🥁Meet Shawn Peddle (Shawn Peddle), PhD candidate Flinders University. Shawn will be presenting on "Agricultural land-use legacies present unique challenges for the restoration of soil microbiota" #ESASCBO2022 Program: kaigi.eventsair.com/QuickEventWebs…


.Shawn Peddle gave us a nice snapshot of his PhD project chapter on better understanding post agricultural land use legacies on soil bacterial diversity in Western Australia. Make sure to check out his poster for more information #ESASCBO2022


A great week at #ESASCBO2022. Survived my first conference presentation, met so many wonderful people and researchers, and was even awarded the ESA EMR student prize for an outstanding poster presentation! Cheers to the ESA and Bush Heritage for all the support!🎉



How can #microbes play a crucial role in restoring ecosystems? Check out our new paper led by Jake Robinson in Trends in Ecology & Evolution to find out!!

Our New Phytologist Ecological Society of Australia #ESAus22 meeting report is more like a mini review and out now. 🥳 Integrating soil microbial communities into fundamental ecology, conservation, and restoration: examples from Australia - Birnbaum - New Phytologist - nph.onlinelibrary.wiley.com/doi/10.1111/np…



