
REIC_registroeii
@reicregistroeii
Registro nacional de cirugía de la Enfermedad Inflamatoria Intestinal en España.
Abierto a todos los hospitales!
Contacta en: [email protected]
ID: 1011894480012705793
27-06-2018 08:50:18
31 Tweet
158 Followers
239 Following

XII Edición Curso de Anatomía Aplicada a las Técnicas Quirúrgicas en Coloproctología 29-30 Noviembre 2018 Valencia práctico y interactivo en ambiente profesional pero relajado ¡recomendado! #colorectalsurgery #colorectalcourse info: [email protected] ucpvalencia.es/xii-curso-de-a…



Aún no te has unido al Registro de Enfermedad Inflamatoria y Cirugía? Estaremos en el #cncirugia2018 para hablar contigo y resolver todas las dudas que se te planteen. Monica Millan Curro Blanco Luis Sánchez-Guillén enriquez-navascues David Parés Dr Mario Álvarez antonio codina ColorecTorrecardenas


Welcome to #SoMe4IBD SoMe4IBD 🙌🙌🙌🙌🙌🙌🙌🙌🙌 Connecting IBD gastroenterologist, surgeons and patients Pilar Nos Javier P. Gisbert Gianluca Pellino Monica Millan REIC_registroeii Curro Blanco ACCU ESPAÑA @ACCUjovenes Diana Muñoz Gomez Mariam Aguas Dr Mario Álvarez javier die trill


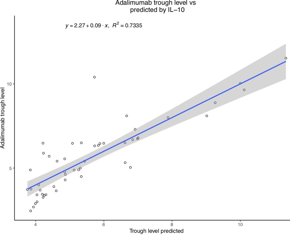
Hey ! 🙄 Want to read something cool about anti-TNF levels variabilitity in Crohn’s disease? IL-10 helps explain them. Have a look 👇🏻 bit.ly/2EjBXrg New int collab study by #imhi_lab, Webredaktion UZH News and Universität Bern @InselSpitalBern @CIBERehd @IBDjournal Aegastro


javier die trill Coloproctología-AEC AECP @JuanDiegoPinaH1 Pedro Abadía Barnó Por tanto, NO BUSCAR el orificio interno al drenar un absceso!!

Reto de Mariam Aguas HospitalLaFe IIS La Fe análisis de los contra de la #telemedicina en #EII y no fácil😅pero tb enriquece la búsqueda de debilidades en la #ehealth #telemonitorizacion para cambiar y potenciar las fortalezas #TECCU JavierdelHoyoFr A debate entornos informaticos seguros









Número de Noviembre de Gastro y Hepato Documento de posicionamiento de GETECCU sobre reservoritis Manuel Barreiro guticas Iago Rodriguez-Lago Eloy Espín Belén Beltrán Maria Chaparro EN OPEN

