Steve Greene (@sjgreene_md) 's Twitter Profile
Steve Greene

@sjgreene_md

Cardiologist at @DukeHeartCenter & @DCRINews | Podcast: #DontMissABeat | Views & tweets are my own

ID: 950586157364064256

linkhttps://medicine.duke.edu/faculty/stephen-greene-md calendar_today09-01-2018 04:32:55

4,4K Tweet

3,3K Followers

149 Following

Gregg Fonarow MD (@gcfmd) 's Twitter Profile Photo

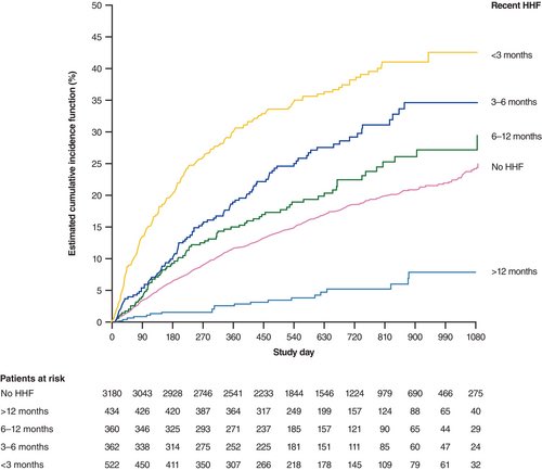
HF Collaboratory Muthu Vaduganathan Mona Fiuzat Christopher O'Connor Megha Gupta JACC Journals stuart pocock Miltonpacker “risks of subsequent HFH and cardiovascular death are markedly elevated following a hospitalization” Time to rethink the initiation/titration of GDMT Simultaneous initiation + rapid uptitration provides the greatest protection when patients need it the most

<a href="/hfcollaboratory/">HF Collaboratory</a> <a href="/mvaduganathan/">Muthu Vaduganathan</a> <a href="/mfiuzat/">Mona Fiuzat</a> <a href="/coconnormd/">Christopher O'Connor</a> <a href="/meghakgupta/">Megha Gupta</a> <a href="/JACCJournals/">JACC Journals</a> <a href="/stuartpocock1/">stuart pocock</a> <a href="/miltonpacker/">Miltonpacker</a> “risks of subsequent HFH and cardiovascular death are markedly elevated following a hospitalization”

Time to rethink the initiation/titration of GDMT 

Simultaneous initiation + rapid uptitration provides the greatest protection when patients need it the most
Giuseppe Galati (@giuseppegalati_) 's Twitter Profile Photo

🔥 #VICTORIA substudy: #ICD in ischaemic vs non-ischaemic #heartfailure: ✅ Significant ⬇️ od #SCD ❌ No significant ⬇️ of CV ☠️ A long question with still many trials ongoing 🍀 EJHF Editor-in-Chief Andrew J Sauer MD BiykemBozkurt Johann Bauersachs Gregg Fonarow MD Steve Greene bit.ly/4jZCuz5

🔥 #VICTORIA substudy:  
#ICD in ischaemic vs non-ischaemic #heartfailure:

✅ Significant ⬇️ od #SCD 
❌ No significant ⬇️ of CV ☠️

A long question with still many trials ongoing 🍀

<a href="/EJHFEiC/">EJHF Editor-in-Chief</a> 

<a href="/AndrewJSauer/">Andrew J Sauer MD</a> <a href="/BiykemB/">BiykemBozkurt</a> <a href="/JBauersachsMD/">Johann Bauersachs</a> <a href="/gcfmd/">Gregg Fonarow MD</a> <a href="/SJGreene_md/">Steve Greene</a> 

bit.ly/4jZCuz5
Gregg Fonarow MD (@gcfmd) 's Twitter Profile Photo

1970-2022 89% ⬇️ in age‐adjusted ☠️ from AMI and an 81% ⬇️ in age‐adjusted ☠️ from all ischemic heart disease. 81% ⬆️ in age‐adjusted ☠️ from heart failure, hypertensive heart disease, and arrhythmia ahajournals.org/doi/10.1161/JA…

Ahmed Bennis (@drbennisahmed) 's Twitter Profile Photo

Get With the Guidelines-Heart Failure: Twenty Years in Review, Lessons Learned, and the Road Ahead IMPROVING QUALITY OF CARE AND INTEGRATING NOVEL THERAPIES APPLYING CLINICAL TRIAL FINDINGS TO REAL-WORLD PROMOTING QUALITY IMPROVEMENT AND INNOVATION ahajournals.org/doi/10.1161/CI…

Get With the Guidelines-Heart Failure: Twenty Years in Review, Lessons Learned, and the Road Ahead

IMPROVING QUALITY OF CARE AND INTEGRATING NOVEL THERAPIES

APPLYING CLINICAL TRIAL FINDINGS TO REAL-WORLD

PROMOTING QUALITY IMPROVEMENT AND INNOVATION

ahajournals.org/doi/10.1161/CI…
Ahmed Bennis (@drbennisahmed) 's Twitter Profile Photo

Initial Decline in Glomerular Filtration Rate With Finerenone in HFmrEF/HFpEF: A Prespecified Analysis of FINEARTS-HF Although an initial decline in eGFR was associated with worse outcomes in patients assigned to placebo, this relationship was not as strong in those treated with

Initial Decline in Glomerular Filtration Rate With Finerenone in HFmrEF/HFpEF: A Prespecified Analysis of FINEARTS-HF

Although an initial decline in eGFR was associated with worse outcomes in patients assigned to placebo, this relationship was not as strong in those treated with
Duke Cardiology Fellows (@dukecardfellows) 's Twitter Profile Photo

So excited to welcome this year’s newest class of cardiology fellows! We’re so thrilled to have you here and can’t wait for all that you’ll bring to the Duke Heart family!🫀🔥 Duke Cardiology Duke Clinical Research Institute

So excited to welcome this year’s newest class of cardiology fellows! We’re so thrilled to have you here and can’t wait for all that you’ll bring to the <a href="/DukeHeartCenter/">Duke Heart</a> family!🫀🔥 <a href="/DukeCardiology/">Duke Cardiology</a> <a href="/DCRINews/">Duke Clinical Research Institute</a>
Henry Han (@hancardiomd) 's Twitter Profile Photo

Exploring safety of down-titrating #diuretics in heart failure management : Post-hoc analysis of #TIME-CHF (n=622): Avg age: 77y | 59% male | 76% #NYHA III/IV 30-day outcomes after loop diuretic down-titration: 🔺30.4% needed re-up 🏥 Hospitalization: 3.4% ⚰️ Death: 2.0%

Exploring safety of down-titrating #diuretics in heart failure management : Post-hoc analysis of #TIME-CHF (n=622):

Avg age: 77y | 59% male | 76% #NYHA III/IV

30-day outcomes after loop diuretic down-titration:
🔺30.4% needed re-up
🏥 Hospitalization: 3.4%
⚰️ Death: 2.0%
Ahmed Bennis (@drbennisahmed) 's Twitter Profile Photo

Cardiovascular and Renal Treatment in Heart Failure Patients With Hyperkalemia or High Risk of Hyperkalemia: Rationale and Design of the CARE-HK in HF Registry Guidelines recommend treating most patients with heart failure with RAASi. Hyperkalemia may hinder achieving

Cardiovascular and Renal Treatment in Heart Failure Patients With Hyperkalemia or High Risk of Hyperkalemia: Rationale and Design of the CARE-HK in HF Registry

Guidelines recommend treating most patients with heart failure with RAASi.


Hyperkalemia may hinder achieving
Giuseppe Galati (@giuseppegalati_) 's Twitter Profile Photo

🔥 Residual #PulmonaryHypertension & Clinical outcome in #AHF across #LVEF 🚨 Presence of #PH predicts #All_cause ☠️ & #HHF 🏥 irrespective of #LVEF No difference #HFrEF #HFmrEF #HFpEF #HFUA 🫀🍀 European Society of Cardiology Journals EJHF Editor-in-Chief Michele Emdin Andrew J Sauer MD bit.ly/44ioOLd

🔥 Residual #PulmonaryHypertension &amp; Clinical outcome in #AHF across #LVEF

🚨 Presence of #PH predicts 
#All_cause ☠️ &amp; #HHF 🏥 irrespective of #LVEF
No difference #HFrEF #HFmrEF #HFpEF

#HFUA 🫀🍀 

<a href="/ESC_Journals/">European Society of Cardiology Journals</a> <a href="/EJHFEiC/">EJHF Editor-in-Chief</a> 
<a href="/MicheleEmdin/">Michele Emdin</a> <a href="/AndrewJSauer/">Andrew J Sauer MD</a> 

bit.ly/44ioOLd
Ahmed Bennis (@drbennisahmed) 's Twitter Profile Photo

HOTLINES ESC 2025 Madrid HOT LINE 1 29 August from 11:00 to 12:00 Rationale and design of the DIGIT-HF trial (DIGitoxin to Improve ouTcomes in patients with advanced chronic Heart Failure): a randomized, double-blind, placebo-controlled study The DIGIT-HF trial will provide

HOTLINES ESC 2025 Madrid 

HOT LINE 1 
29 August from 11:00 to 12:00

Rationale and design of the DIGIT-HF trial (DIGitoxin to Improve ouTcomes in patients with advanced chronic Heart Failure): a randomized, double-blind, placebo-controlled study

The DIGIT-HF trial will provide
Ahmed Bennis (@drbennisahmed) 's Twitter Profile Photo

ESC Congress Madrid 2025 HOT LINE 2 30 August from 08:15 to 09:45 Vericiguat Global Study in Participants with Chronic Heart Failure: Design of the VICTOR trial VICTOR is the first large event-driven HFrEF trial performed in the contemporary era of quadruple foundational

ESC Congress Madrid 2025 

HOT LINE 2 
30 August from 08:15 to 09:45

Vericiguat Global Study in Participants with Chronic Heart Failure: Design of the VICTOR trial

VICTOR is the first large event-driven HFrEF trial performed in the contemporary era of quadruple foundational
Ahmed Bennis (@drbennisahmed) 's Twitter Profile Photo

Sodium-Glucose Cotransporter 2 Inhibitor Use for Heart Failure in US Ambulatory Cardiovascular Care Although this study found that SGLT2i use had increased among ambulatory patients with HF during the study period, the majority of eligible patients did not receive this therapy.

Sodium-Glucose Cotransporter 2 Inhibitor Use for Heart Failure in US Ambulatory Cardiovascular Care

Although this study found that SGLT2i use had increased among ambulatory patients with HF during the study period, the majority of eligible patients did not receive this therapy.
JAMA Cardiology (@jamacardio) 's Twitter Profile Photo

In a nationwide study of outpatients with heart failure, a majority eligible for SGLT2i therapy did not receive it, particularly those who were older, female, or with higher blood pressure. ja.ma/4eLrYuA @GCFMD

In a nationwide study of outpatients with heart failure, a majority eligible for SGLT2i therapy did not receive it, particularly those who were older, female, or with higher blood pressure. ja.ma/4eLrYuA @GCFMD