Sophie Hermann (@_sophiehermann) 's Twitter Profile
Sophie Hermann

@_sophiehermann

Theoretical Physicist and Marie Curie fellow with @MarbachSophie in Paris @LabPhenix @CNRS @Sorbonne_Univ_
(Hyper-)Force Correlations and statistical mechanics.

ID: 1441360816385626121

linkhttps://sites.google.com/view/sophie-hermann calendar_today24-09-2021 11:16:40

32 Tweet

53 Followers

12 Following

Sophie Hermann (@_sophiehermann) 's Twitter Profile Photo

I'm happy to share our perspective on limitations of dynamical density functional theory and on machine learning, recently published in Journal of Physics: Condensed Matter. doi.org/10.1088/1361-6…

Journal of Physics: Condensed Matter (@jphyscm) 's Twitter Profile Photo

Watch below⬇️to find out more about the recent #OpenAccess perspective article 'Perspective: How to overcome dynamical density functional theory' in #JPCM! 📎: iopscience.iop.org/article/10.108…. IOPmaterials IOP Publishing Universität Bayreuth Authors: Sophie Hermann Daniel de las Heras

Sophie Hermann (@_sophiehermann) 's Twitter Profile Photo

I'm proud that our work got published in Physical Review Letters. Based on Noether's theorem we've determined new correlation functions and exact sum rules that gain insights into equilibrium liquids. doi.org/10.1103/PhysRe…

I'm proud that our work got published in <a href="/PhysRevLett/">Physical Review Letters</a>. 
Based on Noether's theorem we've determined new correlation functions and exact sum rules that gain insights into equilibrium liquids. 
doi.org/10.1103/PhysRe…
Journal of Physics: Condensed Matter (@jphyscm) 's Twitter Profile Photo

📢Watch this video created by the authors of 'Local measures of fluctuations in inhomogeneous liquids: statistical mechanics and illustrative applications', an #OpenAccess article recently published in JPCM! Read the full article here 📎: iopscience.iop.org/article/10.108…

Sophie Hermann (@_sophiehermann) 's Twitter Profile Photo

I feel so honoured to have been awared with the "Preis der Stadt Bayreuth" (Prize of the City of Bayreuth) for my PhD thesis Universität Bayreuth on "Forces and symmetries in the statistical mechanics of active and thermal many-body systems". (Foto: Peter Kolb) ubtaktuell.uni-bayreuth.de/2023-president…

I feel so honoured to have been awared with the "Preis der Stadt Bayreuth" (Prize of the City of Bayreuth) for my PhD thesis <a href="/unibt/">Universität Bayreuth</a> on "Forces and symmetries in the statistical mechanics of active and thermal many-body systems". (Foto: Peter Kolb) 
ubtaktuell.uni-bayreuth.de/2023-president…
IntCha24 (@intcha24) 's Twitter Profile Photo

IntCha in non-equilibrium physics: from soft to active and biological matter! Physicists, biologists, chemists and all: find the great list of speakers on our website: pks.mpg.de/intcha24 and submit a poster! Young researchers especially welcome! 22-26/04 in Dresden@MPIPKS!

IntCha in non-equilibrium physics: from soft to active and biological matter! 
Physicists, biologists, chemists and all: find the great list of speakers on our website: pks.mpg.de/intcha24 and submit a poster! Young researchers especially welcome!
22-26/04 in Dresden@MPIPKS!
Physical Review E (@physreve) 's Twitter Profile Photo

Active crystallization from power functional theory, Sophie Hermann and Matthias Schmidt #CollectiveDynamics #ActiveMatter go.aps.org/3SVL5Hs

Active crystallization from power functional theory, Sophie Hermann and Matthias Schmidt #CollectiveDynamics #ActiveMatter  go.aps.org/3SVL5Hs
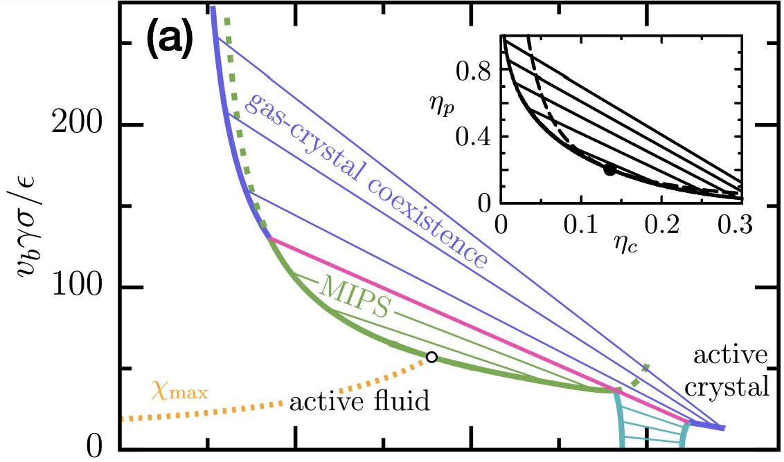
Sophie Hermann (@_sophiehermann) 's Twitter Profile Photo

We have extended our theory describing motility-induced phase separation to include the active crystal phase. The theory gives a reasonable phase diagram with the swim speed acting as a state variable. Just published as a letter in Physical Review E doi.org/10.1103/PhysRe…

We have extended our theory describing motility-induced phase separation to include the active crystal phase. The theory gives a reasonable phase diagram with the swim speed acting as a state variable.
Just published as a letter in <a href="/PhysRevE/">Physical Review E</a> 
doi.org/10.1103/PhysRe…
Sophie Hermann (@_sophiehermann) 's Twitter Profile Photo

(Hyper) Forces are not only an ubiquitous power in #StarWars, but also useful observables #physics. We recently introduced hyperforces in soft matter, published in Communications Physics. Read the story behind the paper in my blogpost: communities.springernature.com/posts/may-the-…

(Hyper) Forces are not only an ubiquitous power in #StarWars, but also useful observables #physics. We recently introduced hyperforces in soft matter, published in <a href="/CommsPhys/">Communications Physics</a>. 
Read the story behind the paper in my blogpost:
communities.springernature.com/posts/may-the-…
IntCha24 (@intcha24) 's Twitter Profile Photo

After amazing talks on bacteria, water, Noether sum rules and FDT from Giulia Lorenzana Asja Jelic Aurore Picot, Daniel Amor, Sophie Hermann and Dario Lucente... now we hike!!! #intcha24

After amazing talks on bacteria, water, Noether sum rules and FDT from <a href="/GiuliaLorenzana/">Giulia Lorenzana</a> <a href="/AsjaJelic/">Asja Jelic</a> Aurore Picot, Daniel Amor, <a href="/_SophieHermann/">Sophie Hermann</a> and Dario Lucente... now we hike!!! #intcha24
Journal of Physics: Condensed Matter (@jphyscm) 's Twitter Profile Photo

We are delighted to be featuring Prof. Matthias Schmidt's research on 'Why neural functionals suit statistical mechanics', which was recently published in JPCM! Read the article here: iopscience.iop.org/article/10.108… and follow the online tutorial here: github.com/sfalmo/NeuralD…

Physical Review Letters (@physrevlett) 's Twitter Profile Photo

A new scheme utilizing machine learning allows for the investigation of complex observables in spatially inhomogeneous many-body systems in a way not possible with conventional density functional theory go.aps.org/4e1jkGA

A new scheme utilizing machine learning allows for the investigation of complex observables in spatially inhomogeneous many-body systems in a way not possible with conventional density functional theory go.aps.org/4e1jkGA
Machine Learning: Science and Technology (@mlstjournal) 's Twitter Profile Photo

Great new work by Sophie Hermann Matthias Schmidt et al Universität Bayreuth - 'Neural force functional for non-equilibrium many-body #colloidalsystems' - iopscience.iop.org/article/10.108… #machinelearning #softmatter #AI #statphys #DFT #Brownian #activematter #biophysics #neuralnetworks #dynamics #AI

Great new work by <a href="/_SophieHermann/">Sophie Hermann</a> Matthias Schmidt et al <a href="/unibt/">Universität Bayreuth</a> - 'Neural force functional for non-equilibrium many-body #colloidalsystems' - iopscience.iop.org/article/10.108… #machinelearning #softmatter #AI #statphys #DFT #Brownian #activematter #biophysics #neuralnetworks #dynamics #AI
Sophie Hermann (@_sophiehermann) 's Twitter Profile Photo

I'm so proud that our recent article on Hyper-density functional theory in soft matter was selected as an Editors' suggestion in Physical Review Letters journals.aps.org/prl/abstract/1…

Sophie Hermann (@_sophiehermann) 's Twitter Profile Photo

Did you know about the Gauge Symmetry in Statistical Mechanics? Find out more in our recent article, published today in Physical Review Letters doi.org/10.1103/PhysRe… (I'm so happy our work has been highlighted as Editors' Suggestion and Featured in Physics!)

Did you know about the Gauge Symmetry in Statistical Mechanics? Find out more in our recent article, published today in <a href="/PhysRevLett/">Physical Review Letters</a>
doi.org/10.1103/PhysRe…
(I'm so happy our work has been highlighted as Editors' Suggestion and Featured in Physics!)