Alain Ngute (@askngute) 's Twitter Profile
Alain Ngute

@askngute

Landscape Ecologist | #biodiversity #ecosystemfunction #carbonstocks #climate #soil | #rstats | #GIS | #PhDone 🎓 @usceduau | #Afreekah | #BlackLivesMatter

ID: 878496337146368000

linkhttps://scholar.google.com/citations?user=HF2ctDcAAAAJ&hl=en calendar_today24-06-2017 06:13:43

667 Tweet

343 Followers

658 Following

Ecography (@ecographyjourna) 's Twitter Profile Photo

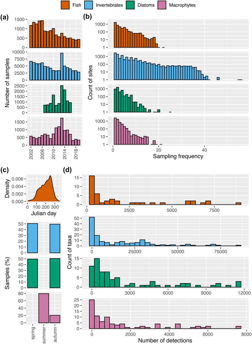
Revealing hidden sources of uncertainty in biodiversity trend assessments nsojournals.onlinelibrary.wiley.com/doi/10.1111/ec… #Biodiversity #Monitoring #Taxonomy @‌ecography.bsky.social Nordic Society Oikos Wiley Ecology & Evolution

Revealing hidden sources of uncertainty in biodiversity trend assessments nsojournals.onlinelibrary.wiley.com/doi/10.1111/ec… #Biodiversity #Monitoring #Taxonomy @‌ecography.bsky.social <a href="/NordicOikos/">Nordic Society Oikos</a> <a href="/WileyEcolEvol/">Wiley Ecology & Evolution</a>
iDiv Biodiversity Research (@idiv) 's Twitter Profile Photo

🎧 Missed it? Don’t worry! iDiv proudly launched the #InsideBiodiversity podcast, your new go-to source for expert thoughts on biodiversity. 🌿🔍 And stay tuned! — A new episode will be out next month. 🦜 ✨ P.S. Don't forget to subscribe here: insidebiodiversity.podigee.io/#subscribe

paola cerrito (@cerrito_paola) 's Twitter Profile Photo

Fully funded PhD position on Hominin Life History Evolution available in my new lab University of Zurich Please retweet! Link: uzh-my.sharepoint.com/my?id=%2Fperso…

Fully funded PhD position on Hominin Life History Evolution available in my new lab <a href="/UZH_en/">University of Zurich</a> 
Please retweet!
Link: uzh-my.sharepoint.com/my?id=%2Fperso…
Oryx (@oryxthejournal) 's Twitter Profile Photo

Flatt et al. report that 65% of camera traps were stolen during their study in Costa Rica, despite locks, cases & signs. Such theft leads to data gaps, impairing research potential in the region and highlighting the need to limit financial & data losses 📷 doi.org/pgqc

Flatt et al. report that 65% of camera traps were stolen during their study in Costa Rica, despite locks, cases &amp; signs. Such theft leads to data gaps, impairing research potential in the region and highlighting the need to limit financial &amp; data losses 📷 doi.org/pgqc
Jonas Lembrechts (@jlembrechts) 's Twitter Profile Photo

The graph that surprises nobody A simple line, that's all we needed in our recent nature paper, to show the strong relationship between biodiversity and humans' footprint. It's clear: we need to battle that human footprint to conserve biodiversity! the3dlab.org/2025/04/11/the…

The graph that surprises nobody

A simple line, that's all we needed in our recent <a href="/Nature/">nature</a> paper, to show the strong relationship between biodiversity and humans' footprint.

It's clear: we need to battle that human footprint to conserve biodiversity!

the3dlab.org/2025/04/11/the…
Journal of Ecology (@jecology) 's Twitter Profile Photo

🌱Plant distributions are frequently in disequilibrium with their environment, which can bias species distribution models. This latest review looks at methods used to reduce bias👇#plantecology #speciesdistribution buff.ly/u9WXOs7

🌱Plant distributions are frequently in disequilibrium with their environment, which can bias species distribution models. This latest review looks at methods used to reduce bias👇#plantecology #speciesdistribution
buff.ly/u9WXOs7
Cary Institute (@caryinstitute) 's Twitter Profile Photo

New Journal of Ecology paper by Arielle Biro, Sarah Batterman, + Jane Lucas finds S African #trees grow better with native soil #microbes than in sterile soil. But trees + microbes both suffered in drought conditions, w implications for #savanna carbon sinks. Yale University besjournals.onlinelibrary.wiley.com/doi/10.1111/13…

ForestPlots (@forestplots) 's Twitter Profile Photo

#PhD How do tropical forest soundscapes alter with land use? Acoustic monitoring in Amazon and African forests, working with partners and gradients of forest modification. Apply by 19 May: Manchester Met Uni, w/ [email protected] & colleagues! mmu.ac.uk/study/postgrad…

bioRxiv Ecology (@biorxiv_ecology) 's Twitter Profile Photo

Lightning-caused disturbance frequency and severity varies with topography in an Afromontane forest biorxiv.org/content/10.110… #biorxiv_ecology

Ecoinformatics IAVS (@iavs_ecoinfo) 's Twitter Profile Photo

📢#CuttingvEdgeTools Friday, May the 30th, at 2 PM CEST, Dylan Craven will close our cycle of webinars on databases with "Key questions in functional biogeography", leveraging regional trait databases and with examples from Rasgos-CL. Join for free at us06web.zoom.us/meeting/regist…

📢#CuttingvEdgeTools Friday, May the 30th, at 2 PM CEST, <a href="/DylanJCraven/">Dylan Craven</a> will close our cycle of webinars on databases with "Key questions in functional biogeography", leveraging regional trait databases and with examples from Rasgos-CL. Join for free at us06web.zoom.us/meeting/regist…
Journal of Ecology (@jecology) 's Twitter Profile Photo

🪿Goose grazing in an Arctic wetland alters the chemical root traits of a dominant sedge species. These changes to root chemistry lead to greater carbon emissions during decomposition👇#wetland #grazing buff.ly/BiGHa5f

🪿Goose grazing in an Arctic wetland alters the chemical root traits of a dominant sedge species. These changes to root chemistry lead to greater carbon emissions during decomposition👇#wetland #grazing
buff.ly/BiGHa5f
WCS Congo (@wcs_congo) 's Twitter Profile Photo

Between savannahs and swamp forests populated by fragile #species, the Lake Tele #Community Reserve embodies a rare ecological balance that is now threatened by the effects of #climatechange. Le Courrier de la Nature highlights the Reserve (French only): bit.ly/4dIbeDP

Between savannahs and swamp forests populated by fragile #species, the Lake Tele #Community Reserve embodies a rare ecological balance that is now threatened by the effects of #climatechange.

Le Courrier de la Nature highlights the Reserve (French only): bit.ly/4dIbeDP
ForestPlots (@forestplots) 's Twitter Profile Photo

#pdra #postdoc Research Fellow in Tropical American Forest Dynamics. We are looking for a scientist with strong quantitative skills focused on forests to lead ecological change analyses with a global team including RAINFOR, PPBio + other networks. jobs.leeds.ac.uk/Vacancy.aspx?r…

#pdra #postdoc 
Research Fellow in Tropical American Forest Dynamics. We are looking for a scientist with strong quantitative skills focused on forests to lead ecological change analyses with a global team including RAINFOR, PPBio + other networks.
jobs.leeds.ac.uk/Vacancy.aspx?r…
Journal of Ecology (@jecology) 's Twitter Profile Photo

🌱🦠 Soil biodiversity is important as plant biodiversity in determining multifunctionality and its stability with increasing number of global change factors. 👉 buff.ly/PS2Gers

🌱🦠  Soil biodiversity is important as plant biodiversity in determining multifunctionality and its stability with increasing number of global change factors. 👉 buff.ly/PS2Gers
Journal of Ecology (@jecology) 's Twitter Profile Photo

🦌Tree diversity boosts tree growth, but why? This study shows: foliar chemical diversity influences tree enemies- more diverse forests have more diverse chemicals which attracts more caterpillars but better resists pathogens & deer, driving better growth buff.ly/2Vw8uO0

🦌Tree diversity boosts tree growth, but why? This study shows: foliar chemical diversity influences tree enemies- more diverse forests have more diverse chemicals which attracts more caterpillars but better resists pathogens &amp; deer, driving better growth
buff.ly/2Vw8uO0