David M. German (@davidmgermanmd) 's Twitter Profile
David M. German

@davidmgermanmd

Assistant Professor of Medicine, Cardiovascular Medicine at OHSU. Cardiovascular Imaging (CCT, nuclear, and echocardiography). Tulane alum. Opinions are my own.

ID: 256631674

calendar_today23-02-2011 19:01:38

190 Tweet

241 Followers

717 Following

David M. German (@davidmgermanmd) 's Twitter Profile Photo

Looking forward to joining Maros Ferencik tomorrow morning for our Read with the Experts session, via Heart_SCCT ! We will cover at least 15 cases, including a wide variety of interesting findings. FiRST - SCCT OHSU Cardiology Fellowship OHSU Knight Cardio Come join us!

Heart_SCCT (@heart_scct) 's Twitter Profile Photo

Cardiovascular CT for Technologists: 3D/Post Processing Course | Nov 5 This course is planned by techs, for techs - This course will explain how key elements of cardiac scanning impact the post processing outcome. Register: ow.ly/IPhc50LqL2l Brian with the Good Dictations Kelley Branch, MD, MSc

Cardiovascular CT for Technologists: 3D/Post Processing Course | Nov 5
This course is planned by techs, for techs - This course will explain how key elements of cardiac scanning impact the post processing outcome. 

Register: ow.ly/IPhc50LqL2l

<a href="/ghoshhajra/">Brian with the Good Dictations</a> <a href="/DrKelleyBranch/">Kelley Branch, MD, MSc</a>
Venk Murthy MD PhD (@venkmurthy) 's Twitter Profile Photo

These experts would have said: * Antiarrhythmic drugs to suppress PVCs are great * Beta blockers in HF are lethal * PCI in stable CAD saves lives (All later shown to be wrong but were medical consensus for ages) List goes on and on...

Stephan Achenbach (@steph_achenbach) 's Twitter Profile Photo

Atrial Septal Aneurysm (ASA) in cardac CT. Usually defined as excursion > 10 mm (sometimes > 15 mm) to either side. Prevalence in the population likely around 2% (higher in populations with stroke of possible embolic origin). #cardiotwitter European Society of Cardiology Heart_SCCT FAU Erlangen-Nbg

Amy Faith Ho, MD MPH (@amyfaithho) 's Twitter Profile Photo

Let’s not forget, the @cmsgov $/RVU conversion has decreased reimbursement universally every year since 2020. 6% cut in reimbursement through a pandemic…in an economic setting of 4.5% inflation. How does that make sense to have over a 10% pay cut for our “healthcare heroes”?

Let’s not forget, the @cmsgov $/RVU conversion has decreased reimbursement universally every year since 2020. 6% cut in reimbursement through a pandemic…in an economic setting of 4.5% inflation. How does that make sense to have over a 10% pay cut for our “healthcare heroes”?
Abel Joseph (@abeljosephmd) 's Twitter Profile Photo

Patient with a mechanical mitral valve prosthesis undergoes a cholecystectomy for biliary colic. Whats the diagnosis? #MedTwitter

Patient with a mechanical mitral valve prosthesis undergoes a cholecystectomy for biliary colic. Whats the diagnosis? #MedTwitter
Ahmed Teebi, MD MPH🗝️ (@teebi_md) 's Twitter Profile Photo

🧵Check out our JAHA analysis on outcomes of septal myectomy (SM) & alcohol ablation (ASA) in obstructive #HCM👨🏻‍💼. Thnx Ahmad Masri for mentoring! ✅Analyzed all-comers (2010-2019) in 🇺🇸 ✅19,000 pts with HCM & SM/ASA ➡️How hospital procedural volume impacts outcomes of

🧵Check out our <a href="/JAHA_AHA/">JAHA</a> analysis on outcomes of septal myectomy (SM) &amp; alcohol ablation (ASA) in obstructive #HCM👨🏻‍💼. Thnx <a href="/MasriAhmadMD/">Ahmad Masri</a> for mentoring! 

✅Analyzed all-comers (2010-2019) in 🇺🇸
✅19,000 pts with HCM &amp; SM/ASA

➡️How hospital procedural volume impacts outcomes of
Praveen Ranganath, MD (@praveenrangana9) 's Twitter Profile Photo

Total artificial heart #YesCCT Concern for caval inflow obstruction on device flow curves (see next tweet) CT shows systemic venous inflow obstruction from epicardial fatty “ridge” distorting / reducing volume of right atrium. Valve and ventricular bladder function normal

Matthew Budoff MD (@budoffmd) 's Twitter Profile Photo

Sad to report that a very physically active 66 year old patient with negative nuclear 2 years ago, taken off statin with 'clean bill of health', just passed away of SCD/MI with severe 3 VD. Wife had to do CPR. Wrong test, wrong answer. Need more CAC testing in asymptomatic pts

JACC Journals (@jaccjournals) 's Twitter Profile Photo

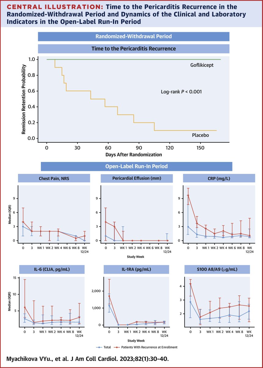
New research shows a high level of efficiency and safety for idiopathic recurrent #pericarditis treated with #goflikicept. See the results in #JACC: bit.ly/436iZfN

New research shows a high level of efficiency and safety for idiopathic recurrent #pericarditis treated with #goflikicept. See the results in #JACC: bit.ly/436iZfN
Bloodman (@bloodman) 's Twitter Profile Photo

PFO - risk factor for Diving? Decompression Illness in Divers With or Without Patent Foramen Ovale: A Cohort Study: acpjournals.org/doi/10.7326/M2…

Pooja S. Jagadish, MD (@poojajagadishmd) 's Twitter Profile Photo

Avoid nitrates (nitroglycerin, isosorbide) w/in: 🫀12 hrs of avanafil 🫀24 hrs of sildenafil or vardenafil 🫀48 hrs of tadalafil (package insert) Nitroglycerin w/in 8 hrs of riociguat appears to lower BP, leading to syncope (package insert riociguat). #CVBoardPearl #MedTwitter