CEU Department of Network & Data Science (@dnds_ceu) 's Twitter Profile
CEU Department of Network & Data Science

@dnds_ceu

We carry out research in network science with a special focus on the foundations of network science and its applications to practical data-driven problems.

ID: 801042537238695936

linkhttps://networkdatascience.ceu.edu/ calendar_today22-11-2016 12:39:58

873 Tweet

2,2K Followers

220 Following

CEU Department of Network & Data Science (@dnds_ceu) 's Twitter Profile Photo

๐ŸŽฒ๐ŸŽฒ๐ŸŽฒย New research alert! "Evolutionary game selection creates cooperative environments" now published in Physical Review E Physical Review E! Work by Onkar Sadekar, Federico Battiston and colleagues! Link: journals.aps.org/pre/abstract/1โ€ฆ Central European University CIVICA The European University of Social Sciences ย #gametheory #networkscience

๐ŸŽฒ๐ŸŽฒ๐ŸŽฒย New research alert!

"Evolutionary game selection creates cooperative environments" now published in Physical Review E <a href="/PhysRevE/">Physical Review E</a>!

Work by <a href="/OnkarSadekar/">Onkar Sadekar</a>, <a href="/fede7j/">Federico Battiston</a> and colleagues!

Link: journals.aps.org/pre/abstract/1โ€ฆ

<a href="/ceu/">Central European University</a> <a href="/CIVICA_EU/">CIVICA The European University of Social Sciences</a> ย #gametheory #networkscience
Leonardo Di Gaetano (@leodigaetano) 's Twitter Profile Photo

๐Ÿš€ Our latest paper on how higher-order interactions can shape rare events in complex networks is now published in Physical Review Letters! Big thanks to my amazing co-authors Francesco Coghi & Federico Battiston for making this happen! CEU Department of Network & Data Science Central European University More details below : journals.aps.org/prl/abstract/1โ€ฆ

Central European University (@ceu) 's Twitter Profile Photo

Applications for CEUโ€™s 2025/26 academic year are OPEN! Join a global community of students and explore your academic passions in one of Europeโ€™s most dynamic universities. ๐ŸŽ“ Read more and apply today ๐Ÿ‘‰ ceu.edu/apply #SeeUatCEU #CEU2025 #ApplyNow

Applications for CEUโ€™s 2025/26 academic year are OPEN! Join a global community of students and explore your academic passions in one of Europeโ€™s most dynamic universities. ๐ŸŽ“ 

Read more and apply today ๐Ÿ‘‰ ceu.edu/apply

#SeeUatCEU #CEU2025 #ApplyNow
Central European University (@ceu) 's Twitter Profile Photo

Curious about life at CEU? ๐ŸŽ“ Join our #VirtualOpenDay on September 18 and get all your questions answered! Learn about our programs, e-meet faculty and students, and find out how CEU can help you shape your future. ๐Ÿ”— Register now: ceu.edu/ceu-open-day

Curious about life at CEU? ๐ŸŽ“ Join our #VirtualOpenDay on September 18 and get all your questions answered! Learn about our programs, e-meet faculty and students, and find out how CEU can help you shape your future. 

๐Ÿ”— Register now: ceu.edu/ceu-open-day
Central European University (@ceu) 's Twitter Profile Photo

Applications for the 2025/26 academic year are now open, and we're here to make the process as smooth as possible! Swipe to check out our handy checklist to ensure you donโ€™t miss any important steps. ๐Ÿ“š For more details, check out ceu.edu/apply and #SeeUatCEU

Applications for the 2025/26 academic year are now open, and we're here to make the process as smooth as possible! Swipe to check out our handy checklist to ensure you donโ€™t miss any important steps. ๐Ÿ“š
 
For more details, check out ceu.edu/apply and #SeeUatCEU
CEU Department of Network & Data Science (@dnds_ceu) 's Twitter Profile Photo

๐Ÿšจ We're hiring! Join the Department of Network and Data Science @CEU in Vienna as a full-time Department Coordinator. Be part of a dynamic, international academic environment! ๐ŸŒ๐Ÿ“Š Apply now: bit.ly/3TWrVD1 #JobAlert #HigherEd #NetworkScience #AcademicJobs

๐Ÿšจ We're hiring! Join the Department of Network and Data Science @CEU in Vienna as a full-time Department Coordinator. Be part of a dynamic, international academic environment! ๐ŸŒ๐Ÿ“Š

Apply now: bit.ly/3TWrVD1

#JobAlert #HigherEd #NetworkScience #AcademicJobs
CEU Department of Network & Data Science (@dnds_ceu) 's Twitter Profile Photo

Are you interested in pursuing master studies in Social Data Science in Vienna? ๐Ÿ“ท 1st admissions deadline --> Oct 15, 2024 for applicants from visa-sensitive countries ๐Ÿ“ท More details about the program at CEU can be found at bit.ly/3fY56hm.

Are you interested in pursuing master studies in Social Data Science in Vienna?
๐Ÿ“ท 1st admissions deadline --&gt; Oct 15, 2024 for applicants from visa-sensitive countries
๐Ÿ“ท More details about the program at CEU can be found at bit.ly/3fY56hm.
CEU Department of Network & Data Science (@dnds_ceu) 's Twitter Profile Photo

๐ŸŽ‰ Congrats to our Assistant Professor Elisa Omodei for receiving the 2024 Complex Systems Society Junior Scientific Award! ๐Ÿ†๐Ÿ‘ Her work at the intersection of complexity science and humanitarian efforts is inspiring. ๐ŸŒ bit.ly/4gKXr0t

CEU Department of Network & Data Science (@dnds_ceu) 's Twitter Profile Photo

๐ŸŽ‰ Exciting news! Our PhD candidates Andres Elsa, Timur Naushirvanov, & Helcio Felippe won 3rd place at #NetSci2024 for their video "How Contagion Spreads in Networks"! ๐ŸŒ๐Ÿ… Check it out & learn how social contagion shapes behaviors ๐Ÿ‘‰ bit.ly/4dYg2DI ๐ŸŽฅ

Central European University (@ceu) 's Twitter Profile Photo

๐ŸŽ“ CEU Open Day โ€“ Nov 14 ๐ŸŽ“ Visit CEUโ€™s Vienna campus to explore our programs, connect with students & faculty, and get application tips! Highlights include a student panel, guided tours, and a mini-fair. Donโ€™t miss it! ๐Ÿ“… Register: ceu.edu/ceu-open-day

๐ŸŽ“ CEU Open Day โ€“ Nov 14 ๐ŸŽ“

Visit CEUโ€™s Vienna campus to explore our programs, connect with students &amp; faculty, and get application tips! Highlights include a student panel, guided tours, and a mini-fair. Donโ€™t miss it!

๐Ÿ“… Register: ceu.edu/ceu-open-day
CEU Department of Network & Data Science (@dnds_ceu) 's Twitter Profile Photo

Human-AI Coevolution, co-authored by Prof. Janos Kertesz, has been published in Artificial Intelligence. ๐Ÿง ๐Ÿค– Explore how humans & AI shape each other through feedback loops, driving complex societal outcomes. Read here: bit.ly/3AMVNuY #AI #ComplexityScience

Human-AI Coevolution, co-authored by Prof. <a href="/janos_kertesz/">Janos Kertesz</a>, has been published in Artificial Intelligence. ๐Ÿง ๐Ÿค– Explore how humans &amp; AI shape each other through feedback loops, driving complex societal outcomes. Read here: bit.ly/3AMVNuY

#AI #ComplexityScience
CEU Department of Network & Data Science (@dnds_ceu) 's Twitter Profile Photo

๐Ÿ’โœจ Excited to share our new Science paper: "Population connectivity shapes chimpanzee cumulative culture." ๐Ÿงฌ This work by Federico Battiston, Onkar Sadekar & collaborators explores how migration & networks influence cultural complexity in chimps. Read more: bit.ly/3ZkPvwc

CEU Department of Network & Data Science (@dnds_ceu) 's Twitter Profile Photo

๐Ÿ“ฃ Ready to take the next step in your academic journey? ๐ŸŒ Join the CEU Virtual Open Day! โœจ Explore programs, meet professors & students, and experience our vibrant communityโ€”all from home! ๐Ÿ”— Sign up now: bit.ly/3tnskjO #CEUOpenDay

๐Ÿ“ฃ Ready to take the next step in your academic journey?
๐ŸŒ Join the CEU Virtual Open Day!
โœจ Explore programs, meet professors &amp; students, and experience our vibrant communityโ€”all from home!
๐Ÿ”— Sign up now: bit.ly/3tnskjO

#CEUOpenDay
CEU Department of Network & Data Science (@dnds_ceu) 's Twitter Profile Photo

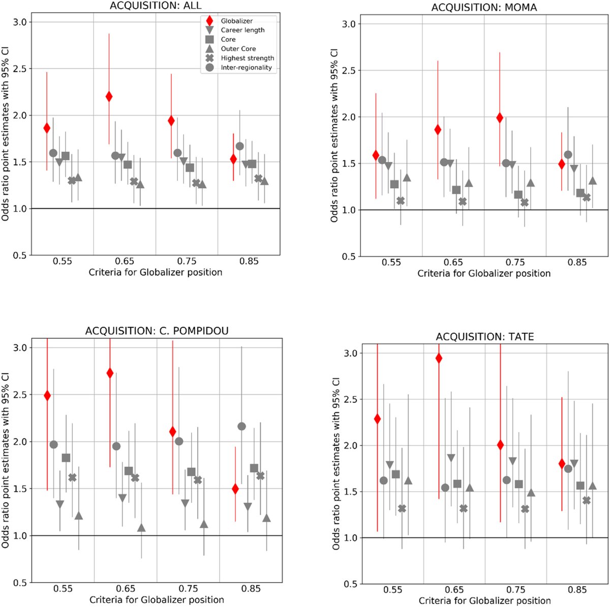
๐ŸŽจ๐ŸŒ "Careers in the Global Art Field: Geo-Capital and Globalizer Venues in the Consecration of Central-Eastern European Artists", a new article out by our alumna Jรบlia Perczel and Prof. Balรกzs Vedres. ๐Ÿ‘‰ Open access here: bit.ly/3DYxYS0 #GlobalArt #CulturalNetworks

๐ŸŽจ๐ŸŒ "Careers in the Global Art Field: Geo-Capital and Globalizer Venues in the Consecration of Central-Eastern European Artists", a new article out by our alumna Jรบlia Perczel and Prof. Balรกzs Vedres.

๐Ÿ‘‰ Open access here: bit.ly/3DYxYS0
#GlobalArt #CulturalNetworks
CEU Department of Network & Data Science (@dnds_ceu) 's Twitter Profile Photo

๐ŸŽ‰ Congratulations to our doctoral candidate, Ludovico Napoli, on successfully defending his dissertation, "Socioeconomic Patterns in Human Mobility and Social Networks," with magna cum laude! A well-deserved achievement! ๐Ÿ‘

๐ŸŽ‰ Congratulations to our doctoral candidate, <a href="/ludovico_napoli/">Ludovico Napoli</a>, on successfully defending his dissertation, "Socioeconomic Patterns in Human Mobility and Social Networks," with magna cum laude! A well-deserved achievement! ๐Ÿ‘
CEU Department of Network & Data Science (@dnds_ceu) 's Twitter Profile Photo

๐ŸŽ‰ Huge congrats to Leonardo Di Gaetano for defending his dissertation, "Higher-Order Networks: Structural Models, Rare Events, and Brain Functional Organization," summa cum laude! ๐Ÿง ๐Ÿ“š Weโ€™re so proud of his remarkable achievement and excited to see the impact of his work! ๐Ÿš€

๐ŸŽ‰ Huge congrats to <a href="/leodigaetano/">Leonardo Di Gaetano</a> for defending his dissertation, "Higher-Order Networks: Structural Models, Rare Events, and Brain Functional Organization," summa cum laude! ๐Ÿง ๐Ÿ“š

Weโ€™re so proud of his remarkable achievement and excited to see the impact of his work! ๐Ÿš€
CEU Department of Network & Data Science (@dnds_ceu) 's Twitter Profile Photo

๐ŸŽ‰ Congratulations to Dr. Teodoro Criscione on successfully defending his PhD on "Network Effects on Community Currency Systems"! ๐ŸŒ๐Ÿ’ก His research explores the impact of community currencies like Sarafu (Kenya) & Circles UBI (Berlin) on economic resilience. ๐Ÿ‘๐Ÿ‘

๐ŸŽ‰ Congratulations to Dr. Teodoro Criscione on successfully defending his PhD on "Network Effects on Community Currency Systems"!

๐ŸŒ๐Ÿ’ก His research explores the impact of community currencies like Sarafu (Kenya) &amp; Circles UBI (Berlin) on economic resilience. ๐Ÿ‘๐Ÿ‘
Alรญz Horvรกth (@alizhorvathaliz) 's Twitter Profile Photo

Our DH-related offerings Central European University (also as part of the Advanced Certificate in #DigitalHumanities ) is growing & now includes our new course "Data Criticism: #multilingualism, #ethics, & #social perspectives"-together w CEU Department of Network & Data Science -now featured in DARIAH-EU | @dariaheu.bsky.social DH Course Registry too!

Our DH-related offerings <a href="/ceu/">Central European University</a> (also as part of the Advanced Certificate in #DigitalHumanities ) is growing &amp; now includes our new course "Data Criticism: #multilingualism, #ethics, &amp; #social perspectives"-together w <a href="/dnds_ceu/">CEU Department of Network & Data Science</a> -now featured in <a href="/DARIAHeu/">DARIAH-EU | @dariaheu.bsky.social</a> DH Course Registry too!