
Daniel Doherty
@dtdoherty
Nuclear Physicist and Lecturer at University of Surrey. Have-a-go triathlete and general dilettante.
ID: 227027521
15-12-2010 18:29:50
14 Tweet
107 Followers
83 Following

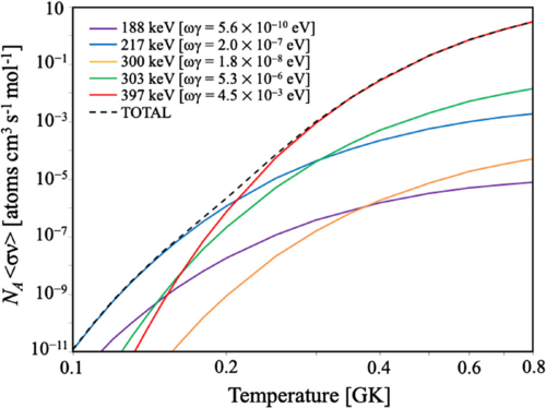
Did you know some #meteorite carry pre-solar-system sized dust grains? My @PhysicsatSurrey colleagues Wilton Catford Daniel Doherty and others performed #NuclearExperiments to find out if they come from #Nova explosions… And they may! Just published Physical Review Letters #NuclearAstrophysics


Research by my experimental colleagues @PhysicsatSurrey highlighted SciTechDaily - Explosive Nuclear Astrophysics: New Method Developed to Determine Origin of Stardust in Meteorites scitechdaily.com/explosive-nucl…

Surrey academics develop a new method to determine the origin of stardust in meteorites ow.ly/lPax50AWrWq @PhysicsatSurrey Surrey Astrophysics


What a #stellar (no pun intended!) set of authors inc Daniel Doherty Wilton Catford Alfredo EV Hendrik Schatz for the latest @PhysicsatSurrey-led Physical Review Letters paper on #NuclearAstrophysics. Led by #PhDStudent S Hallam based on experiments @FRIB & exploiting #Isospin #Symmetry!




This inspiring experiment with important scientific results was devised by my @PhysicsatSurrey colleague (and Director of Learning and Teaching) Gavin Lotay - who competed (and won) for precious #BeamTime The FRIB. Surrey Research Surrey Media Team University of Surrey Physical Review Letters

Two complementary experiments confirm the inversion of high- and low-spin states in ¹⁸⁵Bi, results that act as a key benchmark for the theory of proton emitters. go.aps.org/3qvVBc1 Argonne National Lab





New fellowship in experimental nuclear physics available! To work on a UK Research and Innovation funded project with Michigan's world leading Facility for Rare Isotope Beams (FRIB) . For details and to contact us: jobs.surrey.ac.uk/Vacancy.aspx?r…

The University of Liverpool’s Louise Breen is now presenting exciting research on a standing nanoscopic approach to the digital flexor tendon sheath which has great clinical potential BEVA Journals BEVA Celia Marr #BEVA2024


Also from the University of Liverpool, Maurice Connaughton presents his research comparing cranial and caudal wedge ostectomy techniques, demonstrating the potential benefits of a caudal technique BEVA Journals BEVA Celia Marr
