John Dennis (@john_den_) 's Twitter Profile
John Dennis

@john_den_

Associate Professor @ExeterMed - precision medicine, data science and diabetes #exeterdiabetes

ID: 2676373320

calendar_today24-07-2014 09:51:37

558 Tweet

557 Followers

686 Following

Daniel J Drucker (@danieljdrucker) 's Twitter Profile Photo

Insulin resistant vs. #insulin resistant phenotypes #T2D #diabetes Semaglutide vs. Dapagliflozin Nature Metabolism nature.com/articles/s4225… Open label 6 month observation trial

John Dennis (@john_den_) 's Twitter Profile Photo

Precision medicine in type 2 diabetes - our new Exeter Med School paper in Diabetologia developing a treatment selection model for GLP1-RA & SGLT2i treatments using Bayesian Causal Forests link.springer.com/article/10.100… Web calc using routine clinical features: pm-cardoso.shinyapps.io/SGLT2_GLP1_cal…

Precision medicine in type 2 diabetes - our new <a href="/ExeterMed/">Exeter Med School</a> paper in <a href="/DiabetologiaJnl/">Diabetologia</a> developing a treatment selection model for GLP1-RA &amp; SGLT2i treatments using Bayesian Causal Forests
link.springer.com/article/10.100…

Web calc using routine clinical features: pm-cardoso.shinyapps.io/SGLT2_GLP1_cal…
Florian Markowetz (@markowetzlab) 's Twitter Profile Photo

All models are wrong and yours are useless! In case you missed my talk yesterday on how to make clinical prediction tools useful for patients, you can read all about it here. Enjoy! doi.org/10.1038/s41698…

John Dennis (@john_den_) 's Twitter Profile Photo

Sex differences in T2D drug response matter! A greater glycaemic efficacy of GLP1-RA in females seen in our modelling study confirmed in GRADE RCT data (Liraglutide Male:female odds ratio glycaemic failure 1.63 [95%CI 1.20-2.22]) ADA Professional Publications Diabetes UK diabetesjournals.org/care/article/d…

Diabetologia (@diabetologiajnl) 's Twitter Profile Photo

Precision medicine in #type2diabetes: Cardoso et al develop a new approach for phenotype-based targeting of SGLT2-inhibitors and GLP1-receptor agonists tinyurl.com/bp89t8aa🔓 Exeter Med School John Dennis Angus Jones

Precision medicine in #type2diabetes: Cardoso et al develop a new approach for phenotype-based targeting of SGLT2-inhibitors and GLP1-receptor agonists tinyurl.com/bp89t8aa🔓 <a href="/ExeterMed/">Exeter Med School</a> <a href="/john_den_/">John Dennis</a> <a href="/angusgjones/">Angus Jones</a>
The Lancet Digital Health (@lancetdigitalh) 's Twitter Profile Photo

New Comment from Katherine Young, John Dennis and Nicholas Thomas on the challenges of detecting childhood #diabetes in primary care. Exeter Med School Read it here: thelancet.com/journals/landi…

Daniel J Drucker (@danieljdrucker) 's Twitter Profile Photo

UK primary care data suggests SGLT2i are effective in adults aged ≥70 years, but increase risk for genital infections and diabetic ketoacidosis Diabetologia link.springer.com/article/10.100…

David M Kent (@tufts_pace) 's Twitter Profile Photo

We found 14 re-analyses that delivered evidence that we considered both credible and clinically important. Many of these were IPDMA, combining databases. Among these 14, there were 10 simple ‘risk modeling’ studies. Interestingly, >half of these showed variation in both absolute

Diabetologia (@diabetologiajnl) 's Twitter Profile Photo

Precision medicine in type 2 #diabetes: the causal analysis by Güdemann et al demonstrates that SGLT2 inhibitors are effective in older adults with #T2D but increase genital infections and #DKA risk tinyurl.com/p6pvhvb8 🔓 Exeter Med School Laura Güdemann Angus Jones

Precision medicine in type 2 #diabetes: the causal analysis by Güdemann et al demonstrates that SGLT2 inhibitors are effective in older adults with #T2D but increase genital infections and #DKA risk tinyurl.com/p6pvhvb8 🔓 <a href="/ExeterMed/">Exeter Med School</a> <a href="/LGuedemann/">Laura Güdemann</a> <a href="/angusgjones/">Angus Jones</a>
Craig Beall_Lab🏴󠁧󠁢󠁳󠁣󠁴󠁿 (@craig_beall) 's Twitter Profile Photo

We are hiring: a graduate research assistant and 2x postdocs for a diabetes project using advanced in vitro methods. Collab w/ Thomas Piers and a cracking team of Co-Is GDRA: lnkd.in/eSwkfNHT PDRAx2: lnkd.in/efvA643b Exeter Med School #IPSC #Organoids #OOC

We are hiring: a graduate research assistant and 2x postdocs for a diabetes project using advanced in vitro methods. Collab w/ <a href="/Thomaspiers/">Thomas Piers</a> and a cracking team of Co-Is
GDRA: lnkd.in/eSwkfNHT
PDRAx2: lnkd.in/efvA643b
<a href="/ExeterMed/">Exeter Med School</a> #IPSC #Organoids #OOC
Lucy Chambers (@drlucychambers) 's Twitter Profile Photo

💥Those of us working in science comms are perhaps too fond of the word "gamechanging" but this research by John Dennis @athattersley ExeterDiabetes, published today in The Lancet and announced at #DUKPC25, truly deserves that description 💥 #Type2Diabetes #BetterCare

The Lancet (@thelancet) 's Twitter Profile Photo

A five-drug class model using routinely available clinical features to optimise prescribing in type 2 diabetes: a prediction model development and validation study hubs.li/Q038lTXc0

GoggleDocs (@goggledocs) 's Twitter Profile Photo

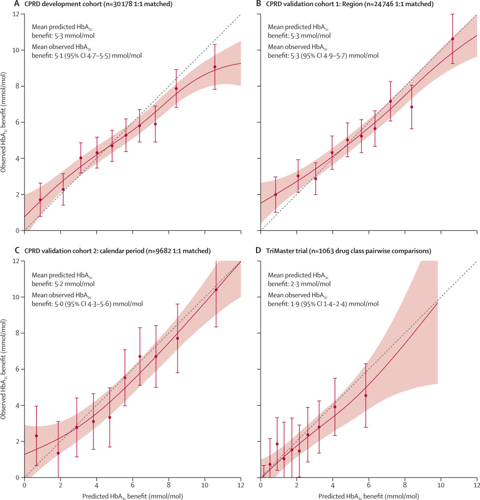
📢 Can AI help pick the best glucose-lowering drug❓ "Computer says yes" 🔹 Machine-learning model predicts optimal therapy (GLP-1RA, SGLT2i, SU, DPP4i, or TZD) 🔸 Model-concordant Rx = 5.3 mmol/mol ⤵️ HbA1c at 12m vs. non-optimal choices 🔹 Better long-term outcomes: 38% ⤵️

📢 Can AI help pick the best glucose-lowering drug❓ "Computer says yes"

🔹 Machine-learning model predicts optimal therapy (GLP-1RA, SGLT2i, SU, DPP4i, or TZD)

🔸 Model-concordant Rx = 5.3 mmol/mol ⤵️ HbA1c at 12m vs. non-optimal choices

🔹 Better long-term outcomes: 38% ⤵️
Diabetes UK Research (@duk_research) 's Twitter Profile Photo

Prof Andrew Hattersley’s powerful opener 💬 “I’ve been in diabetes research for 35 years and this is the most impactful and important bit of work I’ve been involved in.” Read more: diabetes.org.uk/about-us/news-…

Diabetes UK Research (@duk_research) 's Twitter Profile Photo

Next up on the stage of #DUKPC: Professor Ines Barroso Inês Barroso shares insights from her #research journey, showing how her expertise in genetics is helping to answer key questions for people living with #diabetes— all in her inspiring Dorothy Hodgkin Lecture. 🧬

Next up on the stage of #DUKPC: Professor Ines Barroso <a href="/InesBarroso4/">Inês Barroso</a> shares insights from her #research journey, showing how her expertise in genetics is helping to answer key questions for people living with #diabetes— all in her inspiring Dorothy Hodgkin Lecture. 🧬