Mónica Morral Yepes (@monicamorral) 's Twitter Profile
Mónica Morral Yepes

@monicamorral

🏋🏼‍S&C Coach CE Europa⚽️
🎓Prof. asociada Tecnocampus
🔬PhD INEFC
🤓Mastercede/RETAN/Educación/UEFA A
🔚PF FCB FB (🥇2a), Levante Las Planas (🥇2a), RCDE FB

ID: 1062740430075367424

linkhttp://www.cmontraining.com calendar_today14-11-2018 16:13:58

976 Tweet

4,4K Followers

397 Following

Mónica Morral Yepes (@monicamorral) 's Twitter Profile Photo

🦘CONTROL DE FATIGA MEDIANTE CMJ📈 💥Informe con PowerBi 🔍Diferencia en altura de salto entre el mejor hasta la fecha y el actual para % fatiga 📈Evolución

🦘CONTROL DE FATIGA MEDIANTE CMJ📈

💥Informe con PowerBi
🔍Diferencia en altura de salto entre el mejor hasta la fecha y el actual para % fatiga
📈Evolución
Club Esportiu Europa (@ceeuropa) 's Twitter Profile Photo

Estem somiant? Acabem de passar de ronda? De debò??😍😳😳😳💙🤍 No ens ho creiem! No és real! Eliminem a l’Albacete de Copa! #futbolcat #VilaDeGràcia #SagradaFamília #EuropaElche #Copadelrei

Mónica Morral Yepes (@monicamorral) 's Twitter Profile Photo

📈HOW MUCH IS TOO MUCH? 🔎El aumento de carga entre MC dependerá mucho del nivel de carga crónica acumulada. ⬆️<10 % en la carga del MC en cargas crónicas muy altas. ⬆️>10 %probablemente serán bien tolerados por atletas con una carga crónica moderada-baja. 📑Gabbett (2018)

📈HOW MUCH IS TOO MUCH?

🔎El aumento de carga entre MC dependerá mucho del nivel de carga crónica acumulada.
 
⬆️&lt;10 % en la carga del MC en cargas crónicas muy altas.
 ⬆️&gt;10 %probablemente serán bien tolerados por atletas con una carga crónica moderada-baja.

📑Gabbett (2018)
Club Esportiu Europa (@ceeuropa) 's Twitter Profile Photo

𝐂𝐨𝐦 𝐞𝐬𝐜𝐚𝐥𝐟𝐞𝐦 𝐚𝐛𝐚𝐧𝐬 𝐝’𝐮𝐧 𝐩𝐚𝐫𝐭𝐢𝐭? 💨 La Mónica Morral Yepes, preparadora física del Primer Equip masculí ens explica com deixa als jugadors a to pel partit. 🦾 #futbolcat #VilaDeGràcia #SagradaFamília

Mónica Morral Yepes (@monicamorral) 's Twitter Profile Photo

📈Evolución del rendimiento físico en partido mediante GPS🔝 ⚠️Las variables GPS analizadas de forma individual dependen de factores contextuales (juego, tamaño campo, fatiga) a largo plazo nos pueden dar una imagen de la tendencia evolutiva del desempeño físico ‼️Contextualizar

📈Evolución del rendimiento físico en partido mediante GPS🔝
⚠️Las variables GPS analizadas de forma individual dependen de factores contextuales (juego, tamaño campo, fatiga) a largo plazo nos pueden dar una imagen de la tendencia evolutiva del desempeño físico
‼️Contextualizar
HUB4T TecnoCampus (@hub4tecnocampus) 's Twitter Profile Photo

🏃‍♀️ Prepárate para abordar las nuevas tendencias del #EntrenamientoPersonal y la #ReadaptaciónFísicodeportiva con el #MásterUniversitario de TecnoCampus. 📆 Octubre 2025 🎓 Título Oficial UPF Barcelona ❗ 5% de DTO antes del 30/06/25 Más información📲 bit.ly/42cBlz9

🏃‍♀️ Prepárate para abordar las nuevas tendencias del #EntrenamientoPersonal y la #ReadaptaciónFísicodeportiva con el #MásterUniversitario de <a href="/TecnoCampus/">TecnoCampus</a>.

📆 Octubre 2025
🎓 Título Oficial <a href="/UPFBarcelona/">UPF Barcelona</a>
❗ 5% de DTO antes del 30/06/25

Más información📲
bit.ly/42cBlz9
Blanca Romero (@blancaromerom) 's Twitter Profile Photo

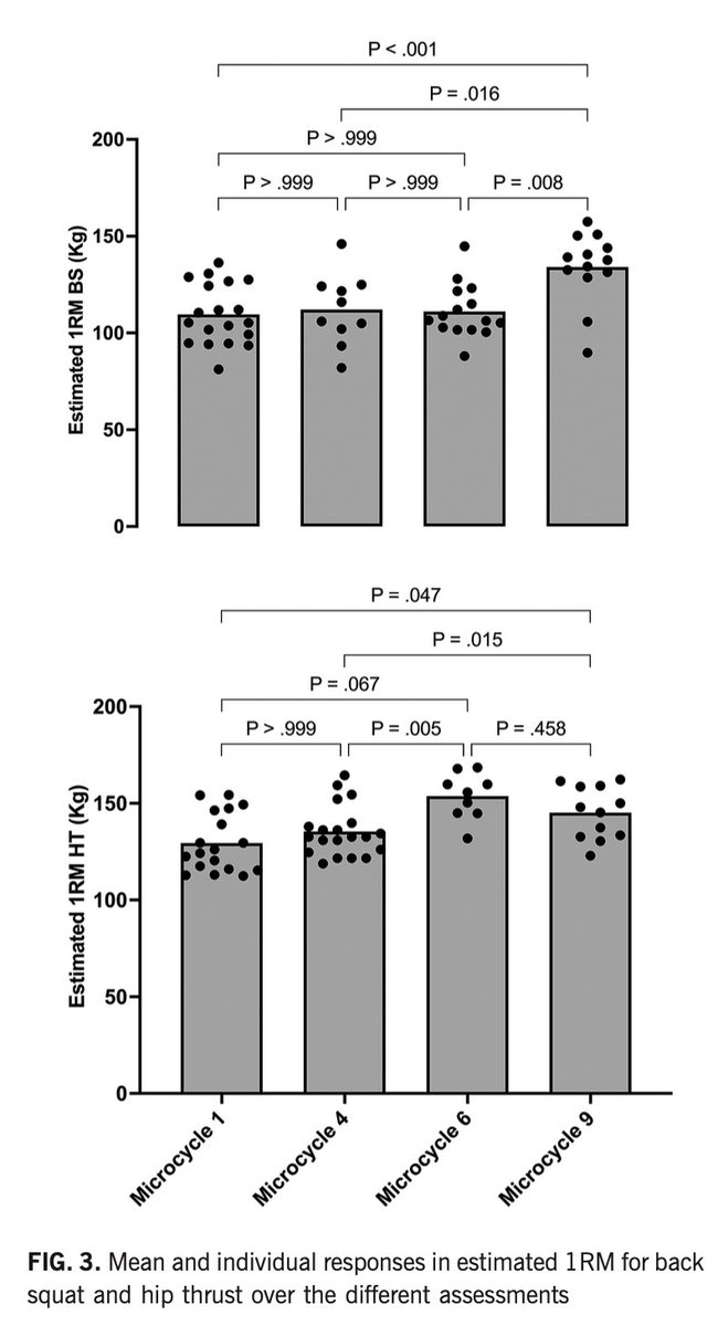
Individual changes in neuromuscular performance in the Spanish women’s national football team throughout the 2023 World Cup Nos apetecía mucho compartir la metodología llevada a cabo en el periodo de preparación y competición del mundial 2023. #femalefootball

Individual changes in neuromuscular performance in the Spanish
women’s national football team throughout the 2023 World Cup

Nos apetecía mucho compartir la metodología llevada a cabo en el periodo de preparación y competición del mundial 2023.
#femalefootball
Club Esportiu Europa (@ceeuropa) 's Twitter Profile Photo

90' | 🏁 FINAL Victòria lluny del Sardenya per sumar la sisena consecutiva! ⚽️🔵⚪️ Meshak i Jordi Cano Badalona Futur 0 - 2 Europa #BadalonaFuturEuropa

90' | 🏁 FINAL

Victòria lluny del Sardenya per sumar la sisena consecutiva!

⚽️🔵⚪️ Meshak i Jordi Cano

Badalona Futur 0 - 2 Europa

#BadalonaFuturEuropa
Primera Federación Versus e-Learning (@primera_rfef) 's Twitter Profile Photo

𝗡𝗼 𝗳𝘂𝗲 𝘂𝗻 𝗱𝗲𝗿𝗯𝗶 𝗰𝘂𝗮𝗹𝗾𝘂𝗶𝗲𝗿𝗮… 💛❤️ Unió Esportiva Sant Andreu 💙🤍 Club Esportiu Europa 👏 Más de 𝟲.𝟱𝟬𝟬 𝗲𝘀𝗽𝗲𝗰𝘁𝗮𝗱𝗼𝗿𝗲𝘀 abarrotaron las gradas del Narcís Sala con el gran derbi barcelonés. 🔥 𝗕 𝗥 𝗨 𝗧 𝗔 𝗟 🔥 #SegundaFederación

Alex Cano (@alexcano4) 's Twitter Profile Photo

Tothom a Elx!!!! Líders a falta de 2 partits!!! 2 finals per aconseguir una fita històrica pel nostre club!!! Som-hi Club Esportiu Europa, fem-ho possible entre tots!!!! 🙏🏼💙🤍

Club Esportiu Europa (@ceeuropa) 's Twitter Profile Photo

𝐒𝐎𝐌 𝐃𝐄 𝐏𝐑𝐈𝐌𝐄𝐑𝐀 𝐅𝐄𝐃𝐄𝐑𝐀𝐂𝐈𝐎́🏆🏆🏆🏆🏆🏆🏆 Les velles glòries han tornat! 💙🤍💙🤍💙🤍💙🤍💙🤍💙 #futbolcat #VilaDeGràcia #SagradaFamília

𝐒𝐎𝐌 𝐃𝐄 𝐏𝐑𝐈𝐌𝐄𝐑𝐀 𝐅𝐄𝐃𝐄𝐑𝐀𝐂𝐈𝐎́🏆🏆🏆🏆🏆🏆🏆

Les velles glòries han tornat! 💙🤍💙🤍💙🤍💙🤍💙🤍💙

#futbolcat #VilaDeGràcia #SagradaFamília
Sara González Millán (@saraglezmillan) 's Twitter Profile Photo

📢 Ampliamos hasta el 18 de mayo en el envío de trabajos y la inscripción reducida (💸) 🗓️ 13-14 de junio 📍 Mataró 📚 Ponentes de primer nivel 🏋🏼‍♀️Talleres Prácticos No te lo pierdas!!

NSCA.es (@nscaes) 's Twitter Profile Photo

🎓 ¡Nuevo webinar! Control de carga en el entrenamiento personal 👤 Impartido Mónica Morral Yepes nsca.es/nsca-tendencia… ⚠️ ¿Estás aplicando la carga adecuada o generando riesgo de lesión? 📊 Aprende a usar RPE, volumen y bienestar para ajustar y optimizar cada sesión.

🎓 ¡Nuevo webinar!  
Control de carga en el entrenamiento personal 👤 Impartido <a href="/monicamorral/">Mónica Morral Yepes</a> 
nsca.es/nsca-tendencia…

⚠️ ¿Estás aplicando la carga adecuada o generando riesgo de lesión?

📊 Aprende a usar RPE, volumen y bienestar para ajustar y optimizar cada sesión.
Mónica Morral Yepes (@monicamorral) 's Twitter Profile Photo

📋INFORME RESUMEN DE LA CARGA EN GIMNASIO DE LA TEMPORADA 24-25 🏋️⚽️ 🔍Datos reales equipo de 2a RFEF (ascenso a 1aRFEF) 🎯Objetivo: tomar decisiones, encontrar puntos de mejora

📋INFORME RESUMEN DE LA CARGA EN GIMNASIO DE LA TEMPORADA 24-25 🏋️⚽️

🔍Datos reales equipo de 2a RFEF (ascenso a 1aRFEF)
🎯Objetivo: tomar decisiones, encontrar puntos de mejora